ICSE-X-Mathematics
18: Trigonometric Identities Class 10 Maths ML Aggarwal Solutions
Exercise 18
1. If A is an acute angle and sin A = 3/5, find all other trigonometric ratios of angle A (using trigonometric identities).
Answer

Given,
sin A = 3/5 and A is an acute angle
So, in ∆ABC we have ∠B = 90o
And,
AC = 5 and BC = 3
By Pythagoras theorem,
AB = √(AC2 - BC2)
= √(52 - 32) = √(25 - 9)
=
√16
= 4
Now,
cos A = AB/AC = 4/5
tan A = BC/AB = 3/4
cot A = 1/tan θ = 4/3
sec A = 1/cos θ = 5/4
cosec A = 1/sin θ = 5/3
2.
If A is an acute angle and sec A = 17/8, find all other trigonometric ratios of angle A (using trigonometric identities).
Answer
Given,
sec A = 17/8 and A is an acute angle
So, in ∆ ABC we have ∠B = 90o
And,
AC = 17 and AB = 8
By Pythagoras theorem,
BC = √(AC2 - AB2)
= √(172 - 82) = √(289 - 64)
=
√225
= 15
Now,
sin A = BC/AC = 15/17
cos A = 1/sec A = 8/17
tan A = BC/AB = 15/8
cot A = 1/tan A= 8/15
cosec A = 1/sin A = 17/15
3.
Express the ratios cos A, tan A and sec A in terms of sin A.
Answer
We know that,
sin2 A + cos2 A = 1
So,
cos A = √(1 - sin2 A)
tan A = sin A/cos A = sin A/ √(1 - sin2 A)
sec A = 1/cos A = 1/ (√1 - sin2 A)
4.
If tan A = 1/√3, find all other trigonometric ratios of angle A.
Answer

Given, tan A = 1/√3
In right ∆ ABC,
tan A = BC/AB = 1/√3
So,
BC = 1 and AB = √3
By Pythagoras theorem,
AC = √(AB2 + BC2)
= √[(√3)2 + (1)2]
= √(3 + 1)
= √4
= 2
Hence,
sin A = BC/AC = ½
cos A = AB/AC = √3/2
cot A = 1/tan A = √3
sec A = 1/cos A = 2/√3
cosec A = 1/sin A = 2/1 = 2
5.
If 12 cosec θ = 13, find the value of (2 sin θ - 3 cos θ)/(4 sin θ - 9 cos θ)
Answer
Given,
12 cosec θ = 13
⇒ cosec θ = 13/12
In right ∆ ABC,
∠A = θ
So,
cosec θ = AC/BC = 13/12
AC = 13 and BC = 12
By Pythagoras theorem,
AB = √(AC2 - BC2)
= √[(13)2 - (12)2]
= √(169 - 144)
= √25
= 5
Now,
sin θ = BC/AC = 12/13
cos θ = AB/AC = 5/13
Hence,
(2sin θ - 3cos θ)/(4sin θ - 9 cos θ)
= (2 × 12/13 - 3 × 5/13)/(4 × 12/13 - 9 × 5/13)
= (24/13 - 15/13)/(48/13 - 45/13)
= 9/13 ÷ 3/13
= 9/13 × 13/3
= 3
Without using trigonometric tables, evaluate the following (6 to 10):
6. (i) cos226o+ cos 64o sin 26o + (tan 36o/cot 54o)
(ii) (sec 17o/ cosec 73o) + (tan 68o/ cot 22o) + cos2 44o + cos2 46o
Answer
Given,
(i) cos2 26o + cos 64o sin 26o + (tan 36o/cot 54o)
= cos2 26o + cos (90o - 16o) sin 26o + [tan 36o/cot (90o - 54o)]
= [cos2 26o + sin2 26o] + (tan 36o/tan 36o)
= 1 + 1 = 2
(ii) (sec 17o/cosec 73o) + (tan 68o/cot 22o) + cos2 44o + cos2 46o
= [sec 17o/cosec (90o - 73o)] + [(tan 90o - 22o)/cot 22o] + cos2 (90o - 44o) + cos2 46o
= [sec 17o/sec 17o] + [cot 22o/cot 22o] + [sin2 46o + cos2 46o]
= 1 + 1 + 1
= 3
7.
(i) (sin 65o/cos 25o) + (cos 32o/sin 58o) - sin 28osec 62o+ cosec2 30o
(ii) (sin 29o/ cosec 61o) + 2 cot 8° cot 17° cot 45° cot 73° cot 82° - 3(sin² 38° + sin² 52°).
Answer
Given,
(i) (sin 65o/cos 25o) + (cos 32o/sin 58o) - sin 28o sec 62o + cosec2 30o
= (sin 65o/cos (90o - 65o)) + (cos 32o/sin (90o - 32o)) - sin 28o sec (90o - 28o) + 22
= (sin 65o/sin 65o)+ (cos 32o/cos 32o) - [sin 28o x cosec 28o] + 4
= 1 + 1 - 1 + 4
= 5
(ii) (sin 29o/cosec 61o) + 2 cot 8° cot 17° cot 45° cot 73° cot 82° - 3(sin² 38° + sin² 52°).
= (sin 29o/cosec (90o - 29o)) + [2 cot 8° cot 17° cot 45° cot (90° - 17o) cot (90o - 8o)] - 3(sin² 38° + sin² (90° - 38o))
= (sin 29o/sin 29o) + [2 cot 8° cot 17° cot 45° tan 17o tan 8o] - 3(sin² 38° + cos² 38°)
= 1 + 2[(cot 8° tan 8o) (cot 17° tan 17o) cot 45°] - 3(1)
= 1 + 2[1×1×1] - 3
= 1 + 2 - 3
= 0
8.
(i) (sin 35ocos 55o+ cos 35o sin 55 o)/ (cosec2 10o - tan2 80 o)
(ii) sin2 34o + sin2 56o + 2 tan18o tan 72o - cot2 30o
Answer
Given,
(i) (sin 35o cos 55o + cos 35o sin 55o)/ (cosec2 10o - tan2 80o)
= sin 35o cos (90o - 35o) + cos 35o sin (90o - 35o)/(cosec2 10o - tan2(90o - 10o)
= sin 35o sin 35o + cos 35o cos 35o)/(cosec2 10o - cot2 10o)
= (sin2 35o + cos2 35o)/(cosec2 10o - cot2 10o)
= 1/1
= 1
(ii) sin2 34o + sin2 56o + 2 tan18o tan 72o - cot2 30o
= sin2 34o + sin2 (90o - 34o) + 2 tan18o tan (90o - 18o) - cot2 30o
= [sin2 34o + cos2 34o] + 2 tan18o cot 18o - cot2 30o
= 1 + 2 x 1 - (√3)2
= 1 + 2 - 3
= 0
9.
(i) (tan 25o/cosec 65o)2+ (cot 25o/sec 65o)2+ 2 tan 18o tan 45o tan 75o
(ii) (cos2 25o + cos2 65o) + cosec θ sec (90o - θ) - cot θ tan (90o - θ)
Answer
Given,
(i) (tan 25o/ cosec 65o)2 + (cot 25o/ sec 65o)2 + 2 tan 18o tan 45o tan 75o

(ii) (cos2 25o + cos2 65o) + cosec θ sec (90o - θ) - cot θ tan (90o - θ)
= cos2 25o + cos2 (90o - 25o) + cosec θ sec (90o - θ) - cot θ. cot θ
= (cos2 25o + sin2 25o) + (cosec2 θ - cot2 θ)
= 1 + 1 = 2
10.
(i) 2(sec² 35° - cot² 55°) - (cos 28°cosec 62°)/(tan18° tan36° tan30° tan30° tan54° tan72°)
(ii) cosec2 (90 - θ) - tan2 θ)/(2(cos248° + cos242°) - (2tan230° sec252° sin238°)/(cosec270° - tan220°)
Answer
(i) 2(sec2 35° - cot2 55°) = (cos28° cosec62°)/(tan18° tan36° tan30° tan54° tan72°)
(ii)

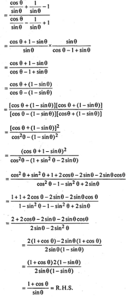
11. Prove that following:
(i) cos θ sin (90° - θ) + sin θ cos (90° - θ) = 1
(ii) tan θ/tan (90o - θ) + sin (90o - θ)/cos θ = sec2 θ
(iii) (cos (90o - θ) cos θ)/tan θ + cos2 (90o - θ) = 1
(iv) sin (90o - θ) cos (90o - θ) = tan θ/ (1 + tan2 θ)
Answer
(i) L.H.S. = cos θ sin (90° - θ) + sin θ cos (90° - θ)
= cos θ x cos θ + sin θ x sin θ
= cos2 θ + sin2 θ
= 1 = R.H.S.
(ii) L.H.S = tan θ/tan (90o - θ) + sin (90o - θ)/cos θ
= tan θ/ cot θ + cos θ/ cos θ
= tan θ/ (1/tan θ) + 1
= tan2 θ + 1 = sec2 θ = R.H.S.
(iii) L.H.S. = (cos (90o - θ) cos θ)/tan θ + cos2 (90o - θ)
= (sin θ cos θ)/tan θ + sin2 θ
= (sin θ cos θ)/(sin θ/cos θ) + sin2 θ
= cos2 θ + sin2 θ
= 1 = R.H.S.
(iv)

Prove that following (12 to 30) identities, where the angles involved are acute angles for which the trigonometric ratios as defined:
12. (i) (sec A + tan A) (1 - sin A) = cos A
(ii) (1 + tan2 A) (1 - sin A) (1 + sin A) = 1.
Answer
Given,
(i) (sec A + tan A)(1 - sin A) = cos A
L.H.S. = (sec A + tan A)(1 - sin A)
(ii)

13.
(i) tan A + cot A = sec A cosec A
(ii) (1 - cos A) (1 + sec A) = tan A sin A.
Answer
(i) L.H.S. = tan A + cot A
= sin A/cos A + cos A/sin A
= (sin2 A + cos2 A)/(sin A cos A)
= 1/(sin A cos A)
= sec A cosec A
= R.H.S
(ii) L.H.S. = (1 - cos A) (1 + sec A)
= (1 - cos A)(1 + 1/cos A)
= (1 - cos A)(cos A + 1)/cos A
= (1 - cos2 A)/(cos A)
= (sin2A)/(cos A)
= sin2 A/cos A
= sin A × sin A/cos A {1 - cos2 A = sin2 A}
= tan A sin A
= R.H.S.
14.
(i) 1/(1 + cos A) + 1/(1 - cos A) = 2cosec2A
(ii) (1/sec A + tan A) + (1/sec A - tan A) = 2 sec A
Answer
(i) 1/(1 + cos A) + 1/(1 - cos A) = 2cosec2 A
L.H.S. = 1/(1 + cos A) + 1/(1 - cos A)
(ii)
15.
(i) sin A/ (1 + cos A) = (1 - cos A)/ sin A
(ii) (1 - tan2 A)/ (cot2 A - 1) = tan2 A
(iii) sin A/ (1 + cos A) = cosec A - cot A
Answer
(i) L.H.S. = sin A/(1 + cos A)
On multiplying and dividing by (1 - cos A), we have
(ii)

(iii)

16.
(i) (sec A - 1)/(sec A + 1) = (1 - cos A)/(1 + cos A)
(ii) tan2 θ/ (sec θ - 1)2 = (1 + cos θ)/ (1 - cos θ)
(iii) (1 + tan A)2 + (1 - tan A)2 = 2 sec2 A
(iv) sec2 A + cosec2 A = sec2 A. cosec2 A
Answer
(i) (sec A - 1)/(sec A + 1) = (1 - cos A)/(1 + cos A)
L.H.S. = (sec A - 1)/(sec A + 1)
(ii)

(iii) L.H.S. = (1 + tan A)2 + (1 - tan A)2= 1 + 2 tan A + tan2 A + 1 - 2 tan A + tan2 A
= 2 + 2 tan2 A
= 2(1 + tan2 A) [As 1 + tan2 A = sec2 A]
= 2 sec2 A
= R.H.S.
(iv) L.H.S = sec2 A + cosec2 A
= 1/cos2 A + 1/sin2 A
= (sin2 A + cos2 A)/(sin2 A cos2 A)
= 1/ (sin2 A cos2 A)
= sec2 A cosec2 A = R.H.S
17.
(i) (1 + sin A)/cos A + cos A/(1 + sin A) = 2 sec A
(ii) tan A/(sec A - 1) + tan A/(sec A + 1) = 2cosec A
Answer
(i) L.H.S. = (1 + sin A)/cos A + cos A/(1 + sin A)

(ii)

18.
(i) cosec A/(cosec A - 1) + cosec A/(cosec A + 1) = 2 sec2A
(ii) cot A - tan A = (2cos2 A - 1)/ (sin A - cos A)
(iii) (cot A - 1)/ (2 - sec2 A) = cot A/ (1 + tan A)
Answer
(i) L.H.S. = cosec A/(cosec A - 1) + cosec A/(cosec A + 1)

(ii)

(iii)

19.
(i) tan2θ - sin2θ = tan2 θ sin2 θ
(ii) cos θ/ (1 - tan θ) - sin2 θ/ (cos θ - sin θ) = cos θ + sin θ
Answer
(i) L.H.S = tan2 θ - sin2 θ

(ii)

20. (i) cosec4θ - cosec2θ = cot4 θ + cot2 θ
(ii) 2 sec2 θ - sec4 θ - 2 cosec2 θ + cosec4 θ = cot4 θ - tan4 θ.
Answer
(i) L.H.S. = cosec4 θ - cosec2 θ
= cosec2 θ (cosec2 θ - 1)
= cosec2 θ cot2 θ [cosec2 θ - 1 = cot2 θ]
= (cot2 θ + 1) cot2 θ
= cot4 θ + cot2 θ
= R.H.S.
(ii) L.H.S. = 2 sec2 θ - sec4 θ - 2 cosec2 θ + cosec4 θ
= 2 (tan2 θ + 1) - (tan2 θ + 1)2 - 2 (1 + cot2 θ) + (1 + cot2 θ)2
{∵ sec2 θ = tan2 θ + 1 cosec2 θ = 1 + cot2 θ}
= 2 tan2 θ + 2 - (tan4 θ + 2 tan2 θ + 1) - 2 - 2 cot2 θ + (1 + 2 cot2 θ + cot4 θ)
= 2 tan2 θ + 2 - tan4 θ - 2 tan2 θ - 1 - 2 - 2 cot2 θ + 1 + 2 cot2 θ + cot4 θ
= cot4 θ - tan4 θ = R.H.S.
21. (i) (1 + cos θ - sin2 θ)/(sin θ(1 + cos θ) = cot θ
(ii) (tan3 θ - 1)/(tan θ - 1) = sec2 θ + tan θ
Answer
(i)
(1 + cos θ - sin2 θ)/(sin θ(1 + cos θ) = cot θ

(ii)

22. (i) (1 + cosec A)/cosec A = cos2 A/(1 - sin A)
(ii)
= sin A/(1 + cos A)
Answer :
(i) (1 + cosec A)/cosec A = cos2 A/(1 - sin A)
L.H.S. = (1 + cosec A)/cosec A

(ii)

23. (i)
= tan A + sec A
(ii)
= cosec A - cot A
Answer
(i)

(ii)

24. (i)
= 2 cosec A
(ii) cos A cot A/(1 - sin A) = 1 + cosec A
Answer
(i)

(ii)
(cos A cot A)/(1 - sin A) = 1 + cosec A

25. (i) (1 + tan A)/(sin A) + (1 + cot A)/cos A = 2(sec A + cosec A)
(ii) sec4 A - tan4 A = 1 + 2 tan2 A
Answer
(i)

(ii)

26. (i) cosec6 A - cot6 A = 3 cot2 A cosec2 A + 1
(ii) sec6 A - tan6 A = 1 + 3 tan2 A + 3 tan4 A
Answer
(i) cosec6 A - cot6 A = 3 cot2 A cosec2 A + 1

(ii)

27. (i) (cot
θ
- cosec
θ - 1)/(cot θ - cosec θ + 1) = (1 + cos θ)/sin θ
(ii) sin θ/(cot θ + cosec θ) = 2 + sin θ/(cot θ - cosec θ)
Answer
(i) (cot θ - cosec θ - 1)/(cot θ - cosec θ + 1) = (1 + cos θ)/sin θ
L.H.S. = (cot θ - cosec θ - 1)/(cot θ - cosec θ + 1)

(ii)

28. (i) (sin θ + cos θ) (sec θ + cosec θ) = 2 + sec θ cosec θ
(ii) (cosec A - sin A) (sec A - cos A) sec2A = tan A
Answer
(i) (sin θ + cos θ) (sec θ + cosec θ) = 2 + sec θ cosec θ
L.H.S. = (sin θ + cos θ) (sec θ + cosec θ)

(ii)

dlt25477130978406478026">
29. (i) (sin3 A + cos3 A)/(sin A + cos A) + (sin3 A - cos3 A)/(sin A - cos A) = 2
(ii) tan2 A/(1 + tan2 A) + cot2 A/(1 + cot2 A) = 1
Answer
(i) (sin3 A + cos3 A)/(sin A + cos A) + (sin3 A - cos3 A)/(sin A - cos A) = 2
L.H.S. = (sin3 A + cos3 A)/(sin A + cos A) + (sin3 A - cos3 A)/(sin A - cos A)

(ii) tan2 A/(1 + tan2 A) + cot2 A/(1 + cot2 A) = 1

30. (i) 1/ (sec A + tan A) - 1/cos A = 1/cos A - 1/(sec A - tan A)
(ii) (sin A + sec A)2 + (cos A + cosec A)2 = (1 + sec A cosec A)2
(iii) (tan A + sin A)/ (tan A - sin A) = (sec A + 1)/ (sec A - 1)
Answer
(i)
L.H.S. = 1/(sec A + tan A) - 1/cos A

(ii)

(iii) (tan A + sin A)/(tan A - sin A) = (sec A + 1)/(sec A - 1)

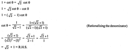
31. If sin θ + cos θ = √2 sin (90° - θ), show that cot θ = √2 + 1
Answer
Given, sin θ + cos θ = √2 sin (90° - θ)
sin θ + cos θ = √2 cos θ
On dividing by sin θ, we have

32. If 7 sin2θ + 3 cos2θ = 4, 0° ≤ θ ≤ 90°, then find the value of θ.
Answer
Given,
7 sin2 θ + 3 cos2 θ = 4, 0° ≤ θ ≤ 90°
⇒ 3 sin2 θ + 3 cos2 θ + 4 sin2 θ = 4
⇒ 3 (sin2 θ + 3 cos2 θ) + 4 sin2 θ = 4
⇒ 3 (1) + 4 sin2 θ = 4
⇒ 4 sin2 θ = 4 - 3
⇒ sin2 θ = ¼
Taking square-root on both sides, we get
sin θ = ½
Thus, θ = 30o
33. If sec θ + tan θ = m and sec θ - tan θ = n, prove that mn = 1.
Answer
Given,
sec θ + tan θ = m
sec θ - tan θ = n
Now,
mn = (sec θ + tan θ) (sec θ - tan θ)
= sec2 θ - tan2 θ = 1
Thus, mn = 1
34. If x - a sec θ + b tan θ and y = a tan θ + b sec θ, prove that x2- y2= a2 - b2.
Answer
Given,
x = a sec θ + b tan θ,
y = a tan θ + b sec θ
Now,
x2 - y2 = (a sec θ + b tan θ)2 - (a tan θ + b sec θ)2
= a2 sec2θ + b2 tan2θ + 2ab secθ tanθ - (a2 tan2θ + b2sec2θ + 2ab secθ tanθ)
= a2 sec2θ + b2tan2θ + 2ab secθ tanθ - a2tan2θ - b2sec2θ - 2ab secθ tanθ
= a2 (sec2θ - tan2θ) - b2 (sec2θ - tan2θ)
= a2 × 1 - b2 × 1 (sec2θ - tan2θ = 1)
= a2 - b2
35. If x = h + a cos θ and y = k + a sin θ, prove that (x - h)2+ (y - k)2= a2.
Answer
Given,
x = h + a cos θ
y = k + a sin θ
Now,
x - h = a cos θ
y - k = a sin θ
On squaring and adding we get
(x - h)2 + (y - k)2 = a2 cos2 θ + a2 sin2 θ
= a2 (sin2 θ + cos2 θ)
= a2 (1) [Since, sin2 θ + cos2 θ = 1]
Hence, proved
Chapter Test
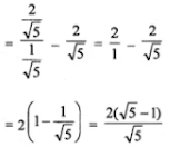
1. (i) If θ is an acute angle and cosec θ = √5, find the value of cot θ - cos θ.
(ii) If θ is an acute angle and tan θ = 8/15, find the value of sec θ + cosec θ.
Answer
Given, θ is an acute angle and cosec θ = √5
So,
sin θ = 1/√5
And, cos θ = √(1 - sin2 θ)
cos θ = √(1 - (1/√5)2)
= √(1 - (1/5))
= √(4/5)
cos θ = 2/√5
Now, cot θ - cos θ = (cos θ/sin θ) - cos θ

(ii) Given, θ is an acute angle and tan θ = 8/15
In fig. we have
tan θ = BC/AB = 8/15
So, BC = 8 and AB = 15
By Pythagoras theorem, we have
AC = √(AB2 + BC2) = √(52 + 82) = √(25 + 64) = √289
⇒ AC = 17
Now,
sec θ = AC/AB = 17/15
cosec θ = AC/BC = 17/8
So,
sec θ + cosec θ = 17/15 + 17/8
= (136 + 255)/ 120
= 391/120
= 3.31/120
2. Evaluate the following:
(i) 2
× (cos2 20° cos2 70°)/(sin2 25° + sin2 65°) - tan 45° + tan 13° tan 23° tan 30° tan 67° tan 77°
(ii) (sin222° + sin268°)/(cos222° + cos268°) + sin263° + cos63° sin27°
Answer
(i) 2 × (cos2 20° cos2 70°)/(sin2 25° + sin2 65°) - tan 45° + tan 13° tan 23° tan 30° tan 67° tan 77°
(ii)

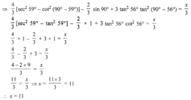
3. If 4/3 (sec259o- cot2 31o) - 2/3 sin 90o + 3 tan2 56o tan2 34o = x/2, then find the value of x.
Answer
Given,
4/3 (sec2 59o - cot2 31o) - 2/3 sin 90o + 3 tan2 56o tan2 34o = x/2

4.
(i) cos A/(1 - sin A) + cos A/(1 + sin A) = 2 sec A
(ii) cos A/(cosec A + 1) + cos A/(cosec A - 1) = 2 tan A
Answer
(i) cos A/(1 - sin A) + cos A/(1 + sin A) = 2 sec A
(ii)

5. (i) (cos θ - sin θ)(1 + tan θ)/2 cos2 θ - 1 = sec θ
(ii) (cosec θ - sin θ) (sec θ - cos θ) (tan θ + cot θ) = 1.
Answer
(i) (cos θ - sin θ)(1 + tan θ)/2cos2 θ - 1 = sec θ
(ii)

6. (i) sin2θ + cos4θ = cos2 θ + sin4 θ
(ii) cot θ/(cosec θ + 1) + (cosec θ + 1)/cot θ = 2 sec θ
Answer
Given,
(i) L.H.S. = sin2 θ + cos4 θ = cos2 θ + sin4 θ
L.H.S. = sin2 θ + cos4 θ
= (1 - cos2 θ) + cos4 θ
= cos4 θ - cos2 θ + 1
= cos2 θ (cos2 θ - 1) + 1
= cos2 θ (- sin2 θ) + 1
= 1 - sin2 θ cos2 θ
Now,
R.H.S. = cos2 θ + sin4 θ
= (1 - sin2 θ) + sin4 θ
= sin4 θ - sin2 θ + 1
= sin2 θ (sin2 θ - 1) + 1
= sin2 θ (-cos2 θ) + 1
= 1 - sin2 θ cos2 θ
Hence, L.H.S. = R.H.S.
(ii)
7. (i) sec4A (1 - sin4A) - 2 tan2 A = 1
(ii) 1/(sin A + cos A + 1) + 1/(sin A + cos A - 1)
= sec A + cosec A
Answer
(i) sec4 A (1 - sin4 A) - 2 tan2 A = 1
L.H.S. = sec4 A (1 - sin4 A) - 2 tan2 A
= 1/cos4 A (1 + sin2 A)(1 - sin2 A) - 2 tan2 A
[∵ a2 - b2 = (a + b)(a - b)]
(ii)

8. (i) (sin3 θ + cos3 θ)/sin θ cos θ + sin θ cos θ = 1
(ii) (sec A - tan A)2 (1 + sin A) = 1 - sin A.
Answer
(i) (sin3 θ + cos3 θ)/sinθ cosθ + sinθ cosθ = 1

(ii)

9. (i) cos A/(1 - tan A) - sin2 A/(cos A - sin A)= sin A + cos A
(ii) (sec A - cosec A) (1 + tan A + cot A) = tan A sec A - cot A cosec A
(iii) tan2 θ/(tan2 θ - 1) - cosec2 θ/(sec2 θ - cosec2 θ) = 1/(sin2 θ - cos2 θ)
Answer
(i) cos A/(1 - tan A) - sin2 A/(cos A - sin A) = sin A + cos A
L.H.S. = cos A/(1 - tan A) - sin2 A/(cos A - sin A)

(ii)

(iii)

10. (sin A + cos A)/(sin A - cos A) + (sin A - cos A)/(sin A + cos A) = 2/(sin2A - cos2 A = 2/(1 - 2 cos2 A) = 2 sec2 A/(tan2 A - 1)
Answer
(sin A + cos A)/(sin A - cos A) + (sin A - cos A)/(sin A + cos A) = 2/(sin2A - cos2 A = 2/(1 - 2 cos2 A) = 2 sec2 A/(tan2 A - 1)
L.H.S. = (sin A + cos A)/(sin A - cos A) + (sin A - cos A)/(sin A + cos A)
11.
2 (sin6θ + cos6θ) - 3 (sin4 θ + cos4 θ) + 1 = 0
Answer
Given,
2 (sin6 θ + cos6 θ) - 3 (sin4 θ + cos4 θ) + 1 = 0
L.H.S. = 2 (sin6 θ + cos6 θ) - 3 (sin4 θ + cos4 θ) + 1
= 2 [(sin2 θ)3 + (cos2 θ)3] - 3 (sin4 θ + cos4 θ) + 1
= 2 [(sin2 θ + cos2 θ) (sin4 θ + cos4 θ - sin2 θ cos2 θ)] - 3 (sin4 θ + cos4 θ) + 1
= 2 (sin4 θ + cos4 θ - sin2 θ cos2 θ) - 3 (sin4 θ + cos4 θ) + 1
= 2 sin4 θ + 2 cos4 θ - 2 sin2 θ cos2 θ - 3 sin4 θ - 3 cos4 θ + 1
= 1 - sin4 θ - cos4 θ - 2 sin2 θ cos2 θ
= 1 - [sin4 θ + cos4 θ + 2 sin2 θ cos2 θ]
= 1 - 1
= 0 = R.H.S.
12.
If cot θ + cos θ = m, cot θ - cos θ = n, then prove that (m2- n2)2= 16.
Answer
Given,
cot θ + cos θ = m ...(i)
cot θ - cos θ = n ...(ii)
Adding (i) and (ii), we get
13.
If sec θ + tan θ = p, prove that sin θ = (p2- 1)/(p2+ 1)
Answer
Given, sec θ + tan θ = p
Prove that sin θ = (p2 - 1)/(p2 + 1)
14.
If tan A = n tan B and sin A = m sin B, prove that cos2A = (m2- 1)/ (n2 - 1)
Answer
Given,
tan A = n tan B and sin A = m sin B
n = tan A/ tan B
m = sin A/ sin B
15.
If sec A = x + 1/4x, then prove that sec A + tan A = 2x or 1/2x
Answer
Given, sec A = x + 1/4x
We know that,
16.
When 0° < θ < 90°, solve the following equations:
(i) 2 cos2 θ + sin θ - 2 = 0
(ii) 3 cos θ = 2 sin2 θ
(iii) sec2 θ - 2 tan θ = 0
(iv) tan2 θ = 3 (sec θ - 1).
Answer
Given, 0° < θ < 90°
(i) 2 cos2 θ + sin θ - 2 = 0
⇒ 2 (1 - sin2 θ) + sin θ - 2 = 0
⇒ 2 - 2 sin2 θ + sin θ - 2 = 0
⇒ -2 sin2 θ + sin θ = 0
⇒ sin θ (1 - 2 sin θ) = 0
So, either sin θ = 0 or 1 - 2 sin θ = 0
If sin θ = 0
⇒ θ = 0o
And, if 1 - 2 sin θ = 0
sin θ = ½
⇒ θ = 30o
Thus, θ = 0o or 30o
(ii) 3 cos θ = 2 sin2 θ
⇒ 3 cos θ = 2 (1 - cos2 θ)
⇒ 3 cos θ = 2 - 2 cos2 θ
⇒ 2 cos2 θ + 3 cos θ - 2 = 0
⇒ 2 cos2 θ + 4 cos θ - cos θ - 2 = 0
⇒ 2 cos θ (cos θ + 2) - 1(cos θ + 2) = 0
⇒ (2 cos θ - 1) (cos θ + 2) = 0
So, either 2 cos θ - 1 = 0 or cos θ + 2 = 0
If 2 cos θ - 1 = 0
cos θ = ½
⇒ θ = 60o
And, for cos θ + 2 = 0
⇒ cos θ = -2 which is not possible being out of range.
Thus, θ = 60o
(iii) sec2 θ - 2 tan θ = 0
⇒ (1 + tan2 θ) - 2 tan θ = 0
⇒ tan2 θ - 2 tan θ + 1 = 0
⇒ (tan θ - 1)2 = 0
⇒ tan θ - 1 = 0
⇒ tan θ = 1
Thus, θ = 45o
(iv) tan2 θ = 3 (sec θ - 1)
⇒ (sec2 θ - 1) = 3 sec θ - 3
⇒ sec2 θ - 1 - 3 sec θ + 3 = 0
⇒ sec2 θ - 3 sec θ + 2 = 0
⇒ sec2 θ - 2 sec θ - sec θ + 2 = 0
⇒ sec θ (sec θ - 2) - 1 (sec θ = 2) = 0
⇒ (sec θ - 1) (sec θ - 2) = 0
So, either sec θ - 1 = 0 or sec θ - 2 = 0
If sec θ - 1 = 0
sec θ = 1
⇒ θ = 0o
And, if sec θ - 2 = 0
sec θ = 2
⇒ θ = 60o
Thus, θ = 0o or 60o
Multiple Choice Questions
Choose the correct answer from the given four options (1 to 12)
1. cot2 θ - 1/sin2 θ is equal to
(a) 1
(b) -1
(c) sin2 θ
(d) sec2 θ
Answer
(b) -1
cot2 θ - 1/sin2 θ
= cos2 θ/sin2 θ - 1/sin2 θ
= (cos2 θ - 1)/sin2 θ
= - sin2 θ/sin2 θ
= - 1
2. (sec2 θ - 1)(1 - cosec2 θ) is equal to
(a) -1
(b) 1
(c) 0
(d) 2
Answer
(a) -1
(sec2 θ - 1)(1 - cosec2 θ)
= (1/cos2 θ - 1)(1 - 1/sin2 θ)
= (1 - cos2 θ)/cos2 θ × (sin2 θ - 1)/sin2 θ
= (- sin2 θ cos2 θ)/(sin2 θ cos2 θ) = - 1
(∵ sin2 θ + cos2 θ = 1)
3. tan2 θ/(1 + tan2 θ) is equal to
(a) 2 sin2 θ
(b) 2 cos2 θ
(c) sin2 θ
(d) cos2 θ
Answer
(c) sin2 θ
tan2 θ/(1 + tan2 θ)
tan2 θ/(1 + tan2 θ) = (sin2 θ/cos2 θ)/(1 + sin2 θ/cos2 θ)
= (sin2 θ/cos2 θ)/(cos2 θ + sin2 θ)/cos2 θ
= (sin2 θ/cos2 θ) × cos2 θ/(sin2 θ + cos2 θ)
(∵ sin2 θ + cos2 θ = 1)
= sin2 θ/1
= sin2 θ
4. (cos θ + sin θ)2 + (cos θ - sin θ)2 is equal to
(a) -2
(b) 0
(c) 1
(d) 2
Answer
(d) 2
(cos θ + sin θ)2 + (cos θ - sin θ)2
= cos2 θ + sin2 θ + 2 sin θ cos θ + cos2 θ + sin2 θ - 2 sin θ cos θ
= 2(sin2 θ + cos2 θ)
= 2 × 1
= 2
(∵ sin2 θ + cos2 θ = 1)
5. (sec A + tan A)(1 - sin A) is equal to
(a) sec A
(b) sin A
(c) cosec A
(d) cos A
Answer
(d) cos A
(sec A + tan A)(1 - sin A)
= (1/cos A + sin A/cos A) (1 - sin A)
= (1 + sin A)/cos A × 1 - sin A
= {(1 + sin A)(1 - sin A)}/cos A
= (1 - sin2 A)/cos A
= cos2 A/cos A
= cos A
6. (1 + tan2 A)/(1 + cot2 A) is equal to
(a) sec2 A
(b) -1
(c) cot2 A
(d) tan2 A
Answer
(d) tan2 A
(1 + tan2 A)/(1 + cot2 A)
(1 + tan2 A)/(1 + cot2 A) = (1 + sin2 A/cos2 A)/(1 + cos2 A/sin2 A)
= {(cos2 A + sin2 A)/cos2 A}/(sin2 A + cos2 A)/sin2 A}
= (1/cos2 A)/(1/sin2 A)
= 1/cos2 A × sin2 A/1
= sin2 A/cos2 A
= tan2 A
7. If sec θ - tan θ = k, then the value of sec θ + tan θ is
(a) 1 - 1/k
(b) 1 - k
(c) 1 + k
(d) 1/k
Answer
(d) 1/k
sec θ - tan θ = k
1/cos θ - sin θ/cos θ = k
(1 - sin θ)/cos θ = k
Squaring both sides, we get
(1 - sin θ)/cos θ = k
Squaring both sides, we get
{(1 - sin θ)/cos θ}2 = (k)2
⇒ (1 - sin θ)2/cos2 θ = k2
= (1 - sin θ)2/(1 - sin2 θ)
= k2
⇒ (1 - sin θ)2/(1 + sin θ)(1 - sin θ) = k2
= (1 - sin θ)/(1 + sin θ)
= k2
⇒ (1 + sin θ)/(1 - sin θ) = 1/k2
(1 + sin θ)/cos θ = 1/k
= 1/cos θ + sin θ/cos θ
= 1/k
⇒ sec θ + tan θ = 1/k
8. Which of the following is true for all values of θ (0° < θ < 90°) :
(a) cos2 θ - sin2 θ = 1
(b) cosec2 θ - sec2 θ = 1
(c) sec2 θ - tan2 θ = 1
(d) cot2 θ - tan2 θ = 1
Answer
(c) sec2 θ - tan2 θ = 1
∴ sec2 θ - tan2 θ = 1 is true for all values of θ as it is an identity.
(0° < θ < 90°)
9. If θ is an acute angle of a right triangle, then the value of sin θ cos (90° - θ) + cos θ sin (90° - θ) is
(a) 0
(b) 2 sin
θ cos θ
(c) 1
(d) 2 sin2 θ
Answer
(c) 1
sin θ cos (90° - θ) + cos θ sin (90° - θ)
= sin θ sin θ + cos θ cos θ
{∵ sin(90° - θ) = cos θ, cos (90° - θ) = sin θ}
= sin2 θ + cos2 θ
= 1
10. The value of cos 65° sin 25° + sin 65° cos 25° is
(a) 0
(b) 1
(c) 2
(d) 4
Answer
(b) 1
cos 65° sin 25° + sin 65°cos 25°
= cos (90° - 25°) sin 25° + sin (90° - 25°) cos 25°
= sin 25°. sin 25° + cos 25°. cos 25°
∴ sin2 25° + cos2 25°
(∵ sin2 θ + cos2 θ = 1)
= 1
11. The value of 3 tan2 26° - 3 cosec2 64° is
(a) 0
(b) 3
(c) -3
(d) -1
Answer
(c) -3
3 tan2 26° - 3 cosec2 64°
= 3 tan2 26° - 3 cosec (90° - 26°)
= 3 tan2 26° - 3 sec2 26°
= 3(tan2 26° - sec2 26°) {∵ sec2 θ - tan2 θ = 1}
= 3 × (-1)
= -3
12. The value of sin {(90° - θ)sin θ}/tan θ - 1 is
(a) -cot θ
(b) -sin2 θ
(c) -cos2 θ
(d) -cosec2 θ
Answer
(b) -sin2 θ
{(sin(90° - θ)sin θ}/tan θ - 1
= (cosθ sinθ)/(sinθ)/cos θ - 1
= (sin θ cos θ × cos θ)/(sin θ) - 1
= cos2 θ - 1
= -(1 - cos2 θ)
= - sin2 θ