ICSE-X-Mathematics

07: Ratio and Proportion Class 10 Maths ML Aggarwal Solutions

with Solutions -
 


Exercise 7.1
1. An alloy consists of 27.1/2 kg of copper and 2.3/4 kg of tin. Find the ratio by weight of tin to the alloy
Answer
Copper = 27.1/2 kg = 55/2 kg,
Tin = 2.3/4 kg = 11/4 kg
Total alloy = 55/2 + 11/4
= (110 + 11)/4
= 121/4 kg
Now Ratio between tin and alloy = 11/4 kg; 121/4 kg
= 11: 121
= 1 : 11
2. Find the compound ratio of
(i) 2 : 3 and 4 : 9
(ii) 4 : 5, 5 : 7 and 9 : 11
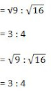
(iii) (a - b) : (a + b), (a + b)2 : (a2 + b2) and (a4 - b4) : (a2 - b2)2
Answer
(i) 2 : 3 and 4: 9
Compound ratio = 2/3 × 4/9
= 8/27 or 8 : 27
(ii) 4 : 5, 5 : 7 and 9 : 11
Compound ratio = 4/5 × 5/7 × 9/11 = 36/77
Or 36 : 77
(iii) (a - b) : (a + b), (a + b)2 : (a2 + b2) and (a4 - b4) : (a2 - b4)2
Compound ratio =


= 1/1 or 1 : 1
3. Find the duplicate ratio of
(i) 2 : 3
(ii) √5 : 7
(iii) 5a : 6b
Answer
(i) Duplicate ratio of 2 : 3 = (2)2 : (3)2 = 4 : 9
(ii) Duplicate ratio of √5 : 7 = (√5)2 : (7)2 = 5 : 49
(iii) Duplicate ratio of 5a : 6b = (5a)2 : (6b)2 = 25a2 : 36b2



4. Find the triplicate ratio of
(i) 3 : 4
(ii) 1/2: 1/3
(iii) 13 : 23
Answer
(i) Triplicate ratio of 3 : 4
= (3)3 : (4)3
= 27 : 64
(ii) Triplicate of 1/2 : 1/3 = (1/2)3 : (1/3)3
= 1/8 : 1/27
= 27 : 8
(iii) Triplicate ratio of 13 : 23 = (13)3 : (23)3
= (1)3 : (8)3
= 1 : 512
5. Find the sub-duplicate ratio of
(i) 9 : 16
(ii) 1/4 : 1/9,
(iii) 9a2 : 49b2
Answer
(i) Sub- duplicate ratio of 9 : 16



(ii) Sub-duplicate ratio of 9a2 : 49b2




= 3a : 7b





6. Find the sub-triplicate ratio of


(i) 1 : 216


(ii) 1/8 : 1/125


(iii) 27a3 : 64b3



Answer


(i) Sub-triplicate ratio of 1 : 216


= (13)1/3 : (6)3

= 1 : 6

(ii) Sub-triplicate ratio of 1/8 : 1/125

= (1/8)1/3 : (1/125)1/3

= [(1/2)3]1/3 : [(1/5)3]1/3

= 3a : 4b





7. Find the reciprocal ratio of


(i) 4 : 7


(ii) 32 : 42


(iii) 1/9 : 2



Answer

(i) Reciprocal ratio of 4 : 7 = 7 : 4

(ii) Reciprocal ratio of 32 : 42 = 42 : 32 = 16 : 9

(iii) Reciprocal ratio of 1/9 : 2 = 2 : 1/9 = 18 : 1





8. Arrange the following ratios in ascending order of magnitude;


2 : 3, 17 : 21, 11: 14 and 5 : 7



Answer

Writing the given ratios in fraction 2/3, 17/21, 11/14, 5/7

L.C.M. of 3, 21, 14, 7 = 42

Converting the given ratio as equivalent

2/3 = (2×14)/(3×14) = 28/42 ; 17/21 = (17×2)/(21×2) = 34/42

11/14 = (11 × 3)/(14 × 3) = 33/42 ; 5/7 = (5 × 6)/(7 × 6) = 30/42

From above, writing in ascending order,

28/42, 30/42, 33/42, 34/42 or 2/3, 5/7. 11/14, 17/21

Or 2: 3 ; 5 : 7; 11: 14 and 17: 21





9. (i) If A : B = 2 : 3, B : C = 4 : 5 and C : D = 6 : 7, find A : D


(ii) If x : y = 2 : 3, and y : z = 4 : 7, find x : y : z



Answer

(i) Let A : B = 2 : 3, B : C = 4 : 5 and C : D = 6 : 7

A/B = 2/3, B/C = 4/5, C/D = 6/7

Multiplying A/B × B/C × C/D

= 2/3 × 4/5 × 6/7

∴ A/D = 16/35

⇒ A : D = 16 : 35

(ii) LCM of y’s terms 3 and 4 = 12

Making equals of y as 12

x/y = 2/3 = (2 × 4)/(3 × 4) = 8/12 or 8 : 12

y/z = 4/7 × 3/3 = 12/21 or 12 : 21
then x : y : z = 8 : 12 : 21





9. (i) If A : B = 2 : 3, B : C = 4 : 5 and C : D = 6 : 7, find A : D


(ii) If x : y = 2 : 3, and y : z = 4 : 7, find x : y : z



Answer

(i) Let A : B = 2 : 3, B : C = 4 : 5 and C : D = 6 : 7

A/B = 2/3, B/C = 4/5, C/D = 6/7

Multiplying A/B × B/C ×C/D

= 2/3 × 4/5 × 6/7

∴ A/D = 16/35

⇒ A : D = 16 : 35

(ii) LCM of y’s terms 3 and 4 = 12

Making equals of y as 12

x/y = 2/3 = (2 × 4)/(3 × 4) = 8/12 or 8 : 12

y/z = 4/7 × 3/3 = 12/21 or 12 : 21

then x : y : z = 8 : 12 : 21





10. (i) If A : B = 1/4 : 1/5 and B : C = 1/7 : 1/6, find A : B : C.


(ii) If 3A = 4B = 6C, find A : B : C



Answer

(i) A : B = 1/4 × 5/1 = 5/4

B : C = 1/7 × 6/1 = 6/7

LCM of B’s terms 4 and 6 = 12

Making terms of B’s; as 12

A/B = (5 × 3)/(4 × 3) = 15/12 = 15 : 12

B/C = (6 × 2)/(7 ×2) = 12/14

= 12 : 14

∴ A : B : C = 15 : 12 : 14

(ii) 3A = 4B ⇒ A/B= 4/3 or A : B = 4 : 3

And 4B = 6C

⇒ B/C = 6/4 = 3/2 or B : C = 3 : 2

∴ A : B : C = 4 : 3 : 2





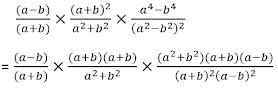
11. (i) If (3x + 5y)/(3x - 5y) = 7/3, Find x : y


(ii) If A : b = 3 : 11, find (15a - 3b) : (9a + 5b).a



Answer

(i) (3x + 5y)/(3x - 5y) = 7/3

⇒ 9x + 15y = 21x - 35y [By cross multiplication]

⇒ 21x - 9x = 15y + 35y

⇒ 12x = 50 y

⇒ x/y = 50/12 = 25/6

Hence, x : y = 25 : 6

(ii) a : b = 3 : 11 or a/b = 3/11

Now, (15a - 3b)/(9a + 5b)

= (15a/b - 3b/b)/(9a/b + 5b/b) (Dividing by b)

= (15a/b - 3)/(9a/b + 5)

= (15 × 3/11 - 3)/(9 × 3/11 + 5) (Substituting the value of a/b)

= (45/11 - 3)/(27/11 + 5)

= (45 - 33)/11}/{(27 + 55)/11}

= (12/11)/(82/11)

= 12/11 × 11/82

= 12/82

= 6/41
∴ (15a - 3b) : (9a + 5b) = 6 : 41





12. (i) If (4x2 + xy) : (3xy - y2) = 12 : 5, find (x + 2y) : (2x + y)


(ii) If y (3x - y) : x (4x + y) = 5 : 12. Find (x2 + y2) : (x + y)2



Answer

(i) (4x2 + xy) : (3xy - y2) = 12 : 5

⇒ (4x2 + xy)/(3xy - y2) = 12/5

⇒ 20x2 + 5xy = 36xy - 12y2

⇒ 20x2 +5xy - 36xy + 12y2 = 0

⇒ 20x2 - 31xy + 12y2 = 0

⇒ 20x2/y2 - 31xy/y2 + 12y2/y2 = 0 (Dividing by y2)

⇒ 20(x/y)2 - 15(x/y) - 16(x/y) + 12 = 0

⇒ 5(x/y)[4(x/y) - 3] - 4[4(x/y) - 3] = 0

⇒ [4(x/y) - 3][5(x/y)- 4] = 0

Either 4(x/y) - 3 = 0, then 4(x/y) = 3

⇒ x/y = 3/4

Or, 5(x/y) - 4 = 0,

Then 5(x/y) = 4

⇒ x/y = 4/5

Now, (x + 2y)/(2x + y) = (x/y + 2)/(2.x/y + 1) (Dividing by y)


(a) When x/y = 3/4, then

= (x/y + 2)/(2.x/y + 1)

= (3/4 + 2)/(2 × 3/4 + 1)

= (11/4)/(3/2 + 1)

= (11/4)/(5/2)

= 11/4 × 2/5

= 11/10

∴ (x + 2y) : (2x + y) = 11 : 10


(b) When x/y = 4/5, then

(x + 2y)/(2x + y) (Dividing by y)

= (x/y + 2)/(2.x/y + 1)

= (4/5 + 2)/(2 ×4/5 + 1)

= (14/5)/(8/5 + 1)

= (14/5)/(13/5)

= 14/5 × 5/13

= 14/13

Hence, (x + 2y)/(2x + y)

= 11/10 or 14/13

∴ (x + 2y)/(2x + y)

= 11 : 10 or 14 : 13




(ii) If y (3x - y) : x(4x + y) = 5 : 12

Find (x2 + y2) : (x + y)2

(3xy - y2)/(4x2 + xy) = 5/12

⇒ 36xy - 12y2 = 20x2 + 5xy

⇒ 20x2 + 5xy - 36xy + 12y2 = 0

⇒ 20x2 - 31xy + 12y2 = 0

⇒ 20.x2/y2 - 31.xy/y2 + 12y2/y2 = 0 (Dividing by y2)

⇒ 20(x2/y2) - 31(xy/y2) + 12 = 0

⇒ 20(x/y)2 - 15(x/y) - 16(x/y) + 12 = 0

⇒ 5(x/y)[4(x/y) - 3] - 4[4(x/y) - 3] = 0

⇒ [4(x/4) - 3][5(x/y) - 4] = 0

Either [4(x/y) - 3] = 0,

Then 4(x/y) = 3

⇒ x/y = 3/4

Or, [5(x/y) - 4] = 0

Then 5(x/y) = 4

⇒ x/y = 4/5


(a) when x/y = 3/4

Then (x2 + y2) : (x + y)2

= (x2 + y2)/(x + y)2

= (x2/y2 + y2/y2)/{1/y2(x + y)2} (Dividing by y2)

= (x2/y2 + 1)/(x/y + 1)2

= {(3/4)2 + 1}/{(3/4 + 1)}2 = (9/16 + 1)/(7/4)2

= (25/16)/(49/16)

= 25/16 × 16/49

= 25/49

∵ (x2 + y2) : (x + y)2 = 25 : 49


(b) When x/y= 4/5, then

(x2 + y2)/(x + y)2

= (x2/y2 + 1)/(x/y + 1)2

= {(x/y)2 + 1}/{(x/y + 1)2}

= (4/5)2 + 1/(4/5 + 1)2

= (16/25 + 1)/(9/5)2

= (41/25)/(81/25)

= 41/25 × 25/81

= 41/81

∵ (x2 + y2) : (x + y)2 = 41 : 81





13. (i) If (x - 9) : (3x + 6) is the duplicate ratio of 4 : 9, find the value of x.


(ii) If (3x + 1) : (5x + 3) is the triplicate ratio of 3 : 4, find the value of x.


(iii) If (x + 2y) : (2x - y) is equal to the duplicate ratio of 3 : 2, find x : y.



Answer


(i) (x - 9)/(3x + 6) = (4/9)2

⇒ (x - 9)/(3x + 6) = 16/81

⇒ 81x - 729 = 48x + 96

⇒ 33x = 825

⇒ x = 825/33 = 25

(ii) If (3x + 1): (5x + 3) is the triplicate ratio of 3 : 4,

Then (3x + 1)/(5x + 3) = (3)3/(4)3 = 27/64

⇒ 64 (3x + 1) = 27(5x + 3)

⇒ 192x + 64 = 135x + 81

⇒ 192x - 135x = 81 - 64

⇒ 57x = 17

⇒ x = 17/57

Hence x = 17/57

(iii) If (x + 2y) : (2x - y) is the duplicate ratio of 3 : 2,

Then (x + 2y)/(2x - y) = (3)2/(2)2 = 9/4

⇒ 9(2x - y) = 4(x + 2y)

⇒ 18x - 9y = 4x + 8y

⇒ 18x - 4x = 8y + 9y

⇒ 14x - 17y

⇒ x/y = 17/14

∴ x : y = 17 : 14





14. (i) Find two numbers in the ratio of 8 : 7 such that when each is decreased by 12.1/2, they are in the ratio 11: 9 .


(ii) The income of a man is increased in the ratio of 10 : 11. If the increase in his income is Rs 600 per month, find his new income.



Answer

(i) The ratio is 8 : 7

Let the numbers be 8x and 7x,

According to condition,

(8x - 25/2)/(7x - 25/2) = 11/9

⇒ {(16x - 25)/2}/{(14x - 25)/2} = 11/9

⇒ {(16x - 25)×2}/{2(14x - 25)} = 11/9

⇒ (16x - 25) × 2}/{2(14x - 25)} = 11/9

⇒ (16x - 25)/(14x - 25) = 11/9

⇒ 154x - 275 = 144x - 225

⇒ 154x - 144x = 275 - 225

⇒ 10x = 50

∴ x = 50/10 = 5

∴ Numbers are 8x = 8 × 5 = 40

And 7x = 7 × 5 = 35

(ii) Let the present income = 10x

Then increased income = 11x

∴ Increased per month = 11x - 10x = x

∴ x = ₹ 600

Now his new income = 11x = 11 × 600
= ₹ 6600





15. (i) A woman reduces her weight in the ratio 7 : 5. What does her weight become if originally it was 91 kg.


(ii) A school collected Rs 2100 for charity. It was decided to divide the money between an orphanage and a blind school in the ratio of 3 : 4. How much money did each receive?



Answer

(i) Ratio between the original weight and reduced weight = 7 : 5

Let original weight = 7x

Then reduced weight = 5x

If original weight = 91 kg

Then reduced weight = (91 × 5x)/7x = 65 kg

(ii) Total amount to be distributed = ₹ 2100

Ratio between orphanage and a blind school = 3 : 4

Sum of ratios = 3 : 4 = 7

Sum of ratios = 3 + 4 = 7

∴ Orphanage school’s share = ₹ 2100 × 3/7

= ₹ 900

Blind School’s share = ₹2100 × 4/7

= ₹ 1200





16. (i) The sides of a triangle are in the ratio 7 : 5 : 3 and its perimeter is 30 cm. Find the lengths of sides.


(ii) If the angles of a triangle are in the ratio 2 : 3 : 4, find the angles.



Answer

(i) Perimeter of a triangle = 30 cm

Ratio among sides = 7 : 5 : 3

Sum of ratios 7 + 5 + 3 = 15

Length of first side = 30 × 7/15 = 14 cm

Length of second side = 30 × 5/15 = 10 cm

Length of third side = 30 × 3/15 = 6 cm.

∴ Sides are 14 cm, 10 cm, 6 cm

(ii) Sum of angles of a triangle = 180°

Ratio among angles = 2 : 3 : 4

Sum of ratios = 2 + 3 + 4 = 9

∴ First angle = 180° × 2/9 = 40°

Second angle = 180° × 3/9 = 60°

Third angle = 180° × 4/9 = 180°

∴ Angles are 40°, 60° and 180°





17. Three numbers are in the ratio 1/2 : 1/3 : 1/4. If the sum of their squares is 244, find the numbers.



Answer

The ratio of three numbers 1/2 : 1/3 : 1/4

= (6 : 4 : 3)/12

Let first number 6x, second 4x and third 3x

∴ According to the condition

(6x)2 + (4x)2 + (3x)2 = 244

⇒ 36x2 + 16x2 + 9x2 = 244

⇒ 61x2 = 244

⇒ x2 = 244/61 = 4 = (2)2

∴ x = 2

∴ First number = 6x = 6 × 2 = 12

Second number = 4x = 4 × 2 = 8
And third number = 3x = 3 × 2 = 6





18. (i) A certain sum was divided among A, B and C in the ratio 7 : 5 : 4. If B got Rs 500 more than C, find the total sum divided.


(ii) In a business, A invests Rs 50000 for 6 months, Rs 600000 for 4 months and C, Rs 80000 for 5 months. If they together earn Rs 18800 find the share of each.



Answer

(i) Ratio between A, B and C = 7 : 5 : 4

Let A’s share = 7x

B’s share = 5x

And C’s share = 4x

Total sum = 7x + 5x + 4x = 16x

Now according to the condition,

5x - 4x = 500

⇒ x = 500

∴ Total sum = 16x = 16 × 500 = ₹ 8000

(ii) A’s 6 months investment = ₹ 50000

∴ A’s 1 month investment

= ₹ 50000 × 6

= ₹ 300000

B’s 4 month’s investment = ₹ 60000

∴ B’s 1 month investment = Rs 60000 × 4

= ₹ 240000

C’s 5 months investment = ₹ 80000

∴ C’s 1 month investment = ₹ 80000 × 5

= ₹ 400000

∴ Ratio between their investments = 300000 : 240000 : 400000

= 30 : 24 : 40

Sum of ratios = 30 + 24 + 40

= 94

Total earnings = ₹ 18800

∴ A’s share = 30/94 ×18800 = ₹ 6000

B’s share = 24/94 × 18800 = ₹4800

C’s share = 40/94 × 18800 = ₹ 8000





19. (i) In a mixture of 45 litres, the ratio of milk to water is 3 : 2. How much water must be added to this mixture to make the ratio of milk to water as 3 : 1 ?


(ii) The ratio of the number of boys to the number of girls in a school of 560 pupils is 5 : 3. If 10 new boys are admitted, find how marry new girls may be admitted so that the ratio of the number of boys to the number of girls may change to 3 : 2.



Answer


(i) Mixture of milk and water = 45 litres

Ratio of milk and water = 13 : 2

Sum of ratio = 13 + 2 = 15

∴ Quantity of milk = (45 × 13)/15

= 39 litres

And quantity of water = 45 × 2/15 = 6 litres

Let x litre of water be added, then water = (6 + x) litres

Now new ratio = 3 : 1

∴ 39 : (6 + x) = 3 : 1

39/(6 + x) = 3 : 1

⇒ 39 = 18 + 3x

⇒ 3x = 39 - 18 = 21

∴ x = 21/3 = 7 litres

∴ 7 litres of water is to be added.

(ii) Ratio between boys and girls = 5 : 3

No. of pupils = 560

Sum of ratios = 5 + 3 = 8

∴ No. of boys = 5/8 × 560 = 350

And no. of girls = 3/8 × 560 = 210

No. of new boys admitted = 10

∴ Total number of boys = 350 + 10 = 360

Let the no. girls admitted = x

∴ Total number of girls = 210 + x

Now according to the condition,

360 : 210 + x = 3 : 2

⇒ 360/(210 + x) = 3/2

⇒ 630 + 3x = 720

⇒ 3x = 720 - 630 = 90

∴ x = 90/3 = 30
∴ No. of girls to be admitted = 30





20. (i) The monthly pocket of Ravi and Sanjeev are in the ratio 5 : 7. Their expenditures are in the ratio 3 : 5. If each saves Rs 80 every month, find their monthly pocket money.


(ii) In Class X of a school, the ratio of the number of boys to that of the girls is 4 : 3. If there were 20 more boys and 12 less girls, then the ratio would have been 2 : 1, How many students were there in the class ?



Answer


(i) Let the monthly pocket money of Ravi and Sanjeev be 5x and 7x respectively.

Also, let their expenditure be 3y and 5y respectively.

So, 5x - 3y = 80 ...(i)

And 7x - 5y = 80 ....(ii)

Multiplying (i) by 7 and (ii) by 5 and, subtracting, we get


⇒ y = 40

From (i), 5x = 80 + 3 × 40 = 200

⇒ x = 40

So, monthly pocket money of Ravi = ₹5 × 40

= ₹200

(ii) Let the number of students in the class = x

Ratio of boys and girls = 4 : 3

No. of boys = 4x/7

And no. of girls = 3x/7

According to the problem,

(4x/7 + 20): (3x/7 - 12) = 2 : 1

(4x + 140)/7 : (3x/7 - 12) = 2 : 1

(4x + 140)/7 : (3x - 84)/4 : 2 : 1

⇒ (4x + 140)/7 × 7/(3x - 84) = 2/1

⇒ (4x + 140)/(3x - 84) = 2/1

⇒ 6x - 168 = 4x + 140

⇒ 6x - 4x = 140 + 168

⇒ 2x = 308

⇒ x = 308/2

= 154

Hence, number of students = 154





21. In an examination, the ratio of passes to failures was 4 : 1. If 30 less had appeared and 20 less passed, the ratio of passes to failures would have been 5 : 1. How many students appeared for the examination.



Answer

Let the number of passes = 4x

And number of failures = x

The total number of students appeared = 4x + x = 5x

In the second case, the number of students appeared = 5x - 30

And number of passes = 4x - 20

∴ No. of failures = (5x - 30) - (4x - 20)

= 5x - 30 - 4x + 20

= x - 10

According to the condition (4x - 20)/(x - 10) = 5/1

⇒ 5x - 50 = 4x - 20

⇒ 5x - 4x = - 20 + 50

⇒ x = 30

∴ Number of students appeared = 5x

= 5 × 30
= 150





Exercise 7.2

1. Find the value of x in the following proportions:


(i) 10 : 35 = x : 42


(ii) 3 : x = 24 : 2


(iii) 2.5 : 1.5 = x : 3


(iv) x : 50 : : 3 : 2



Answer


(i) 10 : 35 = x : 42

⇒ 35 × x = 10 × 42

∴ x = (10 × 42)/35

= 2 × 6

= 12

(ii) 3 : x = 24 : 2

⇒ x × 24 = 3 × 2

∴ x = (3 × 2)/24 = 1/4

(iii) 2.5 : 1.5 = x : 3

⇒ 1.5 ×x = 2.5 × 3

x = (2.5 × 3)/(1.5) = 5.0

(iv) x : 50 : : 3 : 2

⇒ x × 2 = 50 × 3

x = (50 × 3)/2

= 75






2. Find the fourth proportional to


(i) 3, 12, 15


(ii) 1/3, 1/4, 1/5


(iii) 1.5 , 2.5, 4.5


(iv) 9.6 kg, 7.2 kg, 28.8 kg



Answer

(i) Let fourth proportional to 3, 12, 15 be x.

Then 3 : 12 : : 15 : x

⇒ 3 × x = 12 × 15

x = (12 × 15)/3 = 60

(ii) Let fourth proportional to 1/3, 1/4, 1/5 be x then 3 : 12 :: 15 : x

⇒ 1/3 × x = 1/4 × 1/5

⇒ x = 1/4 × 1/5 × 3/1

= 3/20

(iii) Let fourth proportional to 1.5, 2.5, 4.5 be x

Then 1.5 : 2.5 : : 4.5 : x

∴ 1.5 × x = 2.5 × 4.5

x = (2.5 × 4.5)/1.5)

= 7. 5

(iv) Let fourth proportional to 9.6 kg, 7.2 kg, 28.8 kg be x

Then 9. 6 : 7.2 : : 28.8 : x

⇒ 9.6 × x = 7.2 × 28.8

x = (7.2 × 28.8)/(9.6)

= 21.6





3. Find the third proportional to


(i) 5, 10


(ii) 0.24, 0.6


(iii) Rs 3, Rs 12


(iv) 5.1/4 and 7.



Answer

(i) Let x be the third proportional to 5, 10, then 5 : 10 : : 10 : x

∴ 5 × x = 10 × 10

⇒ x = (10 × 10)/5 = 20

∴ Third proportional = 20

(ii) Let x be the third proportional to 0.24, 0.6 then 0.24 : 0.6 :: 0.6 : x

∴ 0.24 × x = 0.6 × 0.6

x = (0.6 × 0.6)/(0.24) = 1.5

∴ Third proportional = 1.5

(iii) Let x be the third proportional to Rs 3 and Rs 12

then Rs 3 : Rs 12 : : Rs 12 : x

∴ x = (12 × 12)/3 = 48

∴ Third proportional = Rs 48

(iv) Let x be the third proportional to 5.1/4 and 7

Then 5.1/4 : 7 : : 7 : x

⇒ 21/4 : 7 :: 7 : x

∴ 21/4 × x = 7 × 7

x = (7 × 7 × 4)/21

= 28/3

= 9.1/3
∴ Third proportional = 9.1/3





4. Find the mean proportion of :


(i) 5 and 80


(ii) 1/12 and 1/75


(iii) 8.1 and 2.5


(iv) (a - b) and (a3 - a2b), a > b



Answer

(i) Let x be the mean proportion of 5 and 80,

Then 5 : x : : x : 80

x2 = 5 × 80


= 20

⇒ x = 20

Hence mean proportion = 20

(ii) Let x be the mean proportion of 1/12 and 1/75

Then 1/12 : x : : x : 1/75

∴ x2 = 1/12 × 1/75 = 1/900


Hence the mean proportion = 1/30

(iii) Let the x be the mean proportional of 8.1and 2.5

∴ 8.1 : x :: x : 25

∴ x2 = 8.1 × 2.5


= 4.5

Hence mean proportion = 4.5

(iv) Let x be the mean proportion to (a - b) and (a3 - a2b), a > b

Then (a - b) : x : : x : (a3 - a2b)

x2 = (a - b)(a3 - a2b)

= (a - b)a2(a - b)

= a2(a - b)2

∴ x = a(a - b)

Hence, the mean proportion = a(a - b)





5. If a, 12, 16 and b are in continued proportion find a and b.



Answer

∵ a, 12, 16 and b are in continued proportion, then

a/12 = 12/16 = 16/b

⇒ a/12 = 12/16

⇒ 16a = 144

⇒ a = 144/16 = 9

And 12/16 = 16/b

⇒ 12b = 16 × 16

= 256

B = 256/12

= 64/3

= 21.1/3
Hence a = 9, b = 64/3 or 21.1/3





6. What number must be added to each of the numbers 5, 11, 19 and 37 so that they are in proportion ?



Answer

Let x be added to 5, 11, 19 and 37 to make them in proportion.

5 + x : 11 + x : : 19 + x : 37 + x

⇒ (5 + x) (37 + x) = (11 + x)(19 + x)

⇒ 185 + 42x + x2 = 209 + 30x + x2

⇒ 42x - 30x + x2 - x2 = 209 - 185

⇒ 12x = 24

⇒ x = 2

∴ Least number to be added = 2





7. What number should be subtracted from each of numbers 23, 30, 57 and 78 so that the remainders are in proportion ?



Answer

Let x be subtracted from each term, then

23 - x, 30 - x, 57 - x and 78 - x are proportional

23 - x : 30 - x :: 57 - x : 78 - x

⇒ (23 - x)/(30 - x) = (57 - x)/(78 - x)

⇒ (23 - x)(78 - x) = (30 - x)(57 - x)

⇒ 1794 - 23x - 78x + x2

= 1710 - 30x - 57x + x2

⇒ x2 - 101x + 1794 = x2 - 87x + 1710

⇒ x2 - 101x + 1794 - x2 + 87x - 1710 = 0

⇒ - 14x + 84 = 0

⇒ 14x = 84

∴ x = 84/14 = 6

Hence, 6 is to be subtracted.





8. If 2x - 1, 5x - 6, 6x + 2 and 15x - 9 are in proportion, find the value of x.



Answer

∵ 2x - 1, 5x - 6, 6x + 2 and 15x - 9 are in proportion. then (2x - 1) (15x - 9) = (5x - 6)(6x + 2)

⇒ 30x2 - 18x - 15x + 9

⇒ 30x2 + 10x - 36x - 12

⇒ 30x2 - 33x + 9 = 30x2 - 26x - 12

⇒ 30x2 - 33x - 30x2 + 26x = - 12 - 9

⇒ - 7 = - 21

∴ x = - 21/- 7

= 3
Hence, x = 3





9. If x + 5 is the mean proportion between x + 2 and x + 9, find the value of x.



Answer

∵ x + 5 is the mean proportion between x + 2 and x + 9,then (x + 5)2 = (x + 2)(x + 9)

⇒ x2 + 10x + 25 = x2 + 11x + 18,

⇒ x2 + 10x - x2 - 11x = 18 - 25

⇒ - x = - 7

∵ x = 7





10. What number must be added to each of the numbers 16, 26 and 40 so that the resulting numbers may be in continued proportion?



Answer

Let x be added to each number then

16 + x, 26 + x and 40 + x are in continued proportion.

⇒ (16 + x)/(26 + x) = (26 + x)/(40 + x)

Cross multiplying,

(16 + x)(40 + x) = (26 + x)(26 + x)

⇒ 640 + 16x + 40x + x2 = 676 + 26x + 26 x + x2

⇒ 640 + 56x + x2 = 676 + 52x + x2

⇒ 56x + x2 - 52x - x2 = 676 - 640

⇒ 4x = 35=6

⇒ x = 36/4 = 9

∴ 9 is to be added.





11. Find two numbers such that the mean proportional between them is 28 and the third proportional to them is 224.



Answer

Let the two numbers are a and b.

∵ 28 is the mean proportional

∵ a : 28 : : 28 : b

∴ ab = (28)2 - 784

⇒ a = 784/b ....(i)

∵ 224 is the third proportional

∴ a : b : : b : 224

⇒ b2 = 224a ....(ii)

Substituting the value of a in (ii)

b2 = 224 × 784/b

⇒ b3 = 224 × 784

⇒ b3 = 175616 = (56)3

∴ b = 56

Now substituting the value of b in (i)

a = 784/56 = 4

Hence, numbers are 14, 56





12. If b is the mean proportional between a and c, prove that a, c, a2 + b2, and b2 + c2
are proportional.



Answer

∵ b is the mean proportional between a and c, then,

b2 = a × c

⇒ b2 = ac ....(i)

Now a, c, a2 + b2 and b2 + c2 are in proportion

If a/c = (a2 + b2)/(b2 + c2)

If a(b2 + c2) = c(a2 + b2)

If a(ac + c2) = c(a2 + ac) [from (i)]

If ac(a + c) = a2 + ac2

If ac(a + c) = ac(a + c) which is true.
Hence, proved.





13. If b is the mean proportional between a and c, prove that (ab + bc) is the mean proportional between (a2 + b2) and (b2 + c2).



Answer

b is the mean proportional between (a2 + b2) and (b2 + c2), then

b2 = ac ....(i)

now if (ab + bc) is the mean proportional between (a2 + b2) and (b2 + c2), then

(ab + bc)2 = (a2 + b2)(b2 + c2), then

(ab + bc)2 = (a2 + b2)(b2 + c2)

Now L.H.S = (ab + bc)2 = a2b2 + b2c2 + 2ab2c

= a2 (ac) + ac
(c)2 + 2a.ac.c [from (i)]

= a3c + ac3 + 2a2c2

= ac(a2 + c2 + 2ac)

= ac(a + c)2

R.H.S. = (a2 + b2)(b2 + c2)

= (a2 + ac)(ac + c2) [from (i)]

= a(a + c)c(a + c)

= ac(a + c)2





14. If y is mean proportional between x and z, prove that xyz (x + y + z)3 = (ay + yz + zx)3.



Answer

∵ y is the mean proportional between x and z, then

y2 = xz .....(i)

L.H.S. = xyz (x + y + z)3

= xz, y(x + y + z)3

= y2y(x + y + z)3 [from (i)]

= y3(x + y + z)3

= [y(x + y + z)]3

= [xy + y2 + yz]3

= (xy + yz + zx)3 [from (i)]

R.H.S.





15. If a + c = mb and 1/b + 1/d = m/c, that a, b, c and d are in proportion.



Answer :

a + c = mb and 1/b + 1/d = m/c

⇒ a + c = mb

⇒ a/b + c/d = m (Dividing by b) ...(i)

and 1/b + 1/d = m/c

c/b + c/d = m (Multiplying by c) ...(ii)

from (i) and (ii),

a/b + c/b = c/b + c/d

⇒ a/b = c/b

Hence, a, b, c and d are proportional.





16. If x/a + y/b = z/c, prove that


(i) x3/a2 = y3/b2 + z3/c2 = (x + y + z)3/(a + b + c)2


(ii) [(a2x2 + b2y2 + c2z2)/(a3x + b3y + c3z)]3= xyz/abc


(iii) (ax - by)/(a + b)(x - y)
+ (by - cz)/(b + c)(y - z) + (cz - ax)/(c + a)(z - x) = 3



Answer

x/a = y/b = z/c ­­­

∴ x = ak, y = bk, z = ck

(i) L.H.S = x3/a2 + y3/b2 + z3/c2

= a3k3/a2 + b2k3/b2 + c3k3/c2

= ak3 + bk3 + ck3

= k3(a + b + c)

R.H.S. = (x + y + z)3/(a + b + c)2

= (ak + bk + ck)3/(a + b + c)2

= k3(a + b + c)3/(a + b + c)2

= k3(a + b + c)

Hence, L.H.S = R.H.S.

(ii) L.H.S. = [(a2x2 + b2y2 + c2z2)/(a3x + b3y + c3z)]3

= [(a2.a2k2 + b2.b2k2 + c2.c2k2)/(a3.ak + b3.bk + c3.c)]3

= [(a4k2 + b4k2 + c4k2)/(a4k + b4k + c4k)]3

= [(k2(a4 + b4 + c4)/{k(a4 + b4 + c4)}]3

= k3

R.H.S. = xyz/abc = (ak.bk.ck)/(abc)

= k3

∴ L.H.S. = R.H.S

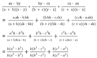
(iii) L.H.S. =


= 1/1

= 1 + 1 + 1
= 3 = R.H.S.





17. If a/b + c/d + e/f prove that:


(i) (b2 + d2 + f2)(a2 + c2 + e2) = (ab + cd + ef)2


(ii) {(a3 + c3)2}/{(b3 + d3)2} = e6/f6


(iii) a2/b2 + c2/d2 + e2/f2 = ac/bd + ce/df + ae/df


(iv) bdf[(a + b)/b + (c + d)/d + (c + f)/f]3


= 27(a + b)(c + d)(e + f)



Answer

a/b + c/d + c/f = k(say)

∴ a = bk, c = dk, e = fk

(i) L.H.S. = (b2 + d2 + f2)(a2 + c2 + e2)

= (b2 + d2 + f2)(b2k2 + d2k2 + f2k2)

= (b2 + d2 + f2)k2(b2 + d2 + f2)

= k2(b2 + d2 + f2)

R.H.S. = (ab + cd + ef)2

= (b.kb + dk.d + fk.f)2

= (kb2 + kd2 + kf2)

= k2(b2 + d2 + f2)2

∴ L.H.S = R.H.S

(ii) L.H.S. = (a3 + c3)2/(b3 + d3)2 = (b3k3 + d3k3)2/(b3 + d3)2

= [k3(b3 + d3)]2/(b3 + a3)2

= k6(b3 + d3)2/(b3 + d3)2 = k6

R.H.S. = e6/f6 = (f6k6)/f6 = k6

∴ L.H.S. = R.H.S.

(iii) L.H.S. = a2/b2 + c2/d2 + e2/f2 = b2k2/b2 + d2k2/d2 + f2k2/f2

= k2 + k2 + k2

= 3k2

R.H.S. = ac/bd + ce/df + ae/bf

= (bk.dk)/(b.d) + (dk.fk)/(d.f) + (bk.fk)/(b.f)

= k2 + k2 + k2

= 3k2

∴ L.H.S. = R.H.S

(iv) L.H.S. = bdf[(a + b)/b + (c + d)/d + (e + f)/f]3

= bdf[(bk + b)/b + (dk + d)/d + (fk + f)/f)]3

= bdf[b(k + 1)/b + d(k + 1)/d + f(k + 1)/f]3

= bdf(k + 1 + k + 1 + k + 1)3

= bdf(3k + 3)3

= 27bdf(k + 1)3

R.H.S. = 27(a + b)(c + d)(e + f)

= 27(bk + b)(dk + d)(fk + f)

= 27b(k + 1)d(k + 1)f(k + 1)

= 27bdf(k + 1)3

∴ L.H.S. = R.H.S





18. If ax = by = cz; prove that


x2/yz + y2/zx + z2/xy = bc/a2 + ca/b2 + ab/c2



Answer

Let ax = by = cz = k

∴ x = k/a, y = k/b, z = k/c

L.H.S. = x2/yz + y2/zx + z2/xy

= (k2/a2)/(k/b.k/c) + (k2/b2)/(k/c.k/a) + (k2/c2)/(k/a.k/b)

= (k2/a2)/(k2/bc) + (k2/b2)/(k2/ca) + (k2/c2)/(k2/ab)

= k2/a2 × bc/k2 × k2/b2 × ca/k2 × k2/c2 × ab/k2

= bc/a2 + ca/b2 + ab/c2
= R.H.S.




19. If a, b, c and d are
in proportion, prove that:

(i) (5a + 7b)(2c - 3d) = (5c +
7d)(2a - 3b)

(ii) (ma + mb) : b = (mc + nd) : d

(iii) (a4 + c4)
: (b4 + d4) = a2c2 : b2d2.

(iv) (a2 + ab)/(c2
+ cd) = (b2 - 2ab)/(d2 - 2cd)

(v) (a + c)3/(b + d)3
= {a(a - c)2}/{b(b - d)2}

(vi) (a2 + ab + b2)/(a2
- ab + b2) = (c2
+ cd + d2)/(c2 - cd + d2)

(vii) (a2 + b2)/(c2
+ d2) = (ab + ad - bc)/(bc + cd - ad)

(viii) abcd [1/a2 + 1/b2
+ 1/c2 + 1/d2] = a2 + b2 + c2
+ d2


Answer

∵ a, b, c, d are in proportion

a/b = c/d = k(say)

a = bk, c = dk.

(i) L.H.S. = (5a + 7b)(2c - 3d)

= (5.bk + 7b)(2dk - 3d)

= {k(5b + 7b)}{k(2d - 3d)}

= k2(12b) × (-d)

= -12 bd k2

R.H.S. = (5c + 7d)(2a - 3b)

= (5dk + 7d)(2kb - 3b)

= {k(5d + 7d)}{k(2b - 3b)}

= k2(12d)(-b)

= - 12k2 bd

= - 12bd k2

∴
L.H.S. = R.H.S

(ii) (ma
+ nb) : b = (mc + nd) : d

⇒ (ma +
nb)/b = (mc + nd)/d

L.H.S. = (mbk + nb)/b = b(mk + n)/b


= mk + n

R.H.S. = (mc + nd)/d = (mdk + nd)/d

= d(mk + n)/d

= mk + n

∴
L.H.S. = R.H.S

(iii) (a4
+ c4) : (b4 + d4) = a2c2
: b2d2

= (a4
+ c4) /(b4 + c4) = (a2c2/b2d2)

L.H.S. =
(a4 + c4)/(b4 + d4)

= (b4k4
+ d4k4)/(b4 + d4)

= k4(b4
+ d4)/(b4 + d4)

= k4


R.H.S. =
(a2c2)/(b2d2)

= (k2b2.k2d2)/(b2.d2)

= k4


Hence
L.H.S. = R.H.S

(iv) L.H.S
= (a2 + ab)/(c2 + cd)

= (k2b2
+ bk.b)/(k2d2 + dk.d)

= {kb2(k
+ 1)}/{d2k(k + 1)}

= b2/d2


R.H.S. =
(b2 - 2ab)/(d2 - 2cd)

= (b2
- 2.bkb)/(d2 - 2dkd)

= {b2(1
- 2k)}/{d2(1 - 2k)}

= b2/d2


∴
L.H.S. = R.H.S.

(v)
L.H.S. = (a + c)3/(b + d)3

= (bk +
dk)3/(b + d)3

= k3(b
+ d)3/(b + d)3

= k3


R.H.S. =
{a(a - c)2}/{b(b - d)2}

{bk(bk -
dk)2}{b(b - d)2}

= bk.k2(b
- d)2/{b(b - d)2

= k3

∴ L.H.S. = R.H.S.

(vi)
L.H.S = (a2 + ab + b2)/(a2 - ab + b2)

= (b2k2
+ bk.b + b2)/(b2k2 - bk.b + b2)

= {b2(k2
+ k + 1)}/{b2(k2 - k + 1)}

= (k2
+ k + 1)/(k2 - k + 1)

R.H.S. =
(c2 + cd + d2)/(c2 - cd + d2)

= (d2k2
+ dkd + d2)/(d2k2 - dk.d + d2)

= {d2(k2
+ k + 1)}/{d2(k2 - k + 1)}

= (k2
+ k + 1)/(k2 - k + 1)

∴ L.H.S. = R.H.S.

(vii)
L.H.S = (a2 + b2)/(c2 + d2) = (b2k2
+ b2)/(d2k2 + d2)

= b2(k2
+ 1)/d2(k2 + 1) = b2/d2

R.H.S =
(ab + ad - bc)/(bc + cd - ad)

= (bk.b +
bk.d - b.dk)/(b.kd + dk.d - bk.d)

= {k(b2
+ bd - bd)}/{k(bd + d2 - bd)}

= b2/d2


∴
L.H.S. = R.H.S.

(viii) L.H.S.
= abcd (1/a2 + 1/b2 + 1/c2 + 1/d2)

=
bk.d.dk.d [1/b2k2 + 1/b2 + 1/d2k2
+ 1/d2]

= k2b2d2
[(d2 + d2k2 + b2 + b2k2)/(b2d2k2)]

= d2(1
+ k2) + b2(1 + k2)

= (1 + k2)(b2
+ d2)

R.H.S = a2
+ b2 + c2 + d2

= b2k2
+ b2 + d2k2 + d2

= b2(k2
+ 1) + d2(k2 + 1)

= (k2
+ 1)(b2 + d2)

∴ L.H.S. = R.H.S.





20. If x, y, z are in continued proportion, prove that (x + y)2/(y + z)2 = x/z.



Answer

x, y, z are in continued proportion

Let x/y = y/z = k

Then y = kz

x = yk = kz × k

= k2z

Now L.H.S = (x + y)2/(y + z)2

= (k2z + kz)2/(kz + z)2

= {kz(k + 1)}2/{z(k + 1)}2

= {k2z2(k + 1)2}/{z2(k + 1)2}

= k2

R.H.S. = x/z = k2z/z

= k3

∴ L.H.S. = R.H.S.





21. If a, b, c are in continued proportion, prove that: (pa2 + qab + rb2)/(pb2 + qbc + rc2) = a/c



Answer

Given a, b, c are in continued proportion (pa2 + qab + rb2)/(pb2 + qbc + rc2) = a/c

Let a/b = b/c = k

⇒ a = bk and b = ck ...(i)

⇒ a = (ck)k = ck2 [Using (i)]

and, b = ck

L.H.S = a/c = ck2/c = k2

R.H.S. = {p(ck2)2 + q(ck2)ck + r(ck)2}/(p(ck)2 + q(ck)c + rc2)

= (pc2k4 + qc2k3 + rc2k2)/(pc2k2 + qc2k + rc2)

= (c2k2)/c2[(pk2 + qk + r)/(pk2 + qk + r)]

= k2 ...(iii)

From (ii) and (iii), L.H.S. = R.H.S

∴ b = ck, a = bk, ckk = ck2

(i) L.H.S = (a + b)/(b + c)

= (a + b)/(b + c)

= (ck2 + ck)/(ck + c)

= {ck(k + 1)}/{c(k + 1)}

= k

R.H.S = {a2(b - c)}/{b2(a - b)}

= (ck2)2(ck - c)}/{(ck)2(ck2 - ck)}
= {c2k4c(k - 1)}/{c2k2 ck(k - 1)}





22. If a, b, c are in continued proportion, prove that:


(i) (a + b)/(b + c) = {a2(b - c)}/{b2(a - b)}


(ii) 1/a3 + 1/b3 + 1/c3 = a/(b2c2) + b/(c2a2) + c/(a2b2)


(iii) a : c = (a2 + b2) : (b2 + c2)


(iv) a2b2c2(a-4 + b-4 + c-4) = b-2 (a4 + b4 + c4)


(v) abc(a + b + c)3 = (ab + bc + ca)3


(vi) (a + b + c)(a - b + c) = a2 + b2 + c2



Answer

(i) As a, b, c are in continued

Let a/b = b/c = k

= {c3k4(k - 1)}/{c3k3(k - 1)}

= k

∴ L.H.S. = R.H.S

(ii) L.H.S = 1/a3 + 1/b3 + 1/c3

= 1/(ck2)3 + 1/(ck)3 + 1/c3

= 1/(c3k6) + 1/(c3k3) + 1/c3

= 1/c3[1/k6 + 1/k3 + 1/1]

R.H.S = a/(b2c2) + b/(c2a2)+ c/(a2b2)

= (ck2)/(ck2)c2 + ck/{(c2(ck2)2} + c/(ck2)2 (ck)2

= {ck2/(ck2)c2} + {ck/c2(ck2)2} + {c/(ck2)2 (ck)2}

= ck2/(c4k2) + ck/(c4k4) + c/(c4k6)

= 1/c3 + 1/(c3k3) + 1/(c3k6)

= 1/c3[1 + 1/k3 + 1/k6]

= 1/c3[1/k6 + 1/k3 + 1]

∴ L.H.S. = R.H.S.


(iii) a : c = (a2 + b2) : (b2 + c2)

⇒ a/c = (a2 + b2)/(b2 + c2)

L.H.S = a/c = (ck2)/c = k2

R.H.S. = {(ck2)2 + (ck)2}/(c2k2 + c2)

= (c2k4 + c2k2)/(c2k2 + c2)

= {c2k2(k2 + 1)}/{c2(k2 + 1)}

= k2

∴ L.H.S. = R.H.S.

(iv) L.H.S.= a2b2c2 (a-4 + b-4 + c-4)

= a2b2c2[1/a4 + 1/b4 + 1/c4]

= (a2b2c2)/a4 + (a2b2c2)/b4 + (a2b2c2)/c4

= (b2c2)/a2 + (c2a2)/b2 + (a2b2)/c2

= {(ck)2.c2}/(ck2)2 + {c2(ck2)2}/(ck)2 + {(ck2)2(ck)2}/c2

= (c2k2.c2)/(c2k4) + (c2.c2k4)/(c2k2) + (c2k4.c2k2)/c2

= c2/k2 + (c2k2)/1 + (c2k6)/1

= c2[1/k2 + k2 + k6]

= c2\k2[1 + k4 + k8]

R.H.S = b-2[a4 + b4 + c4]

= 1/b2[a4 + b4 + c4]

= 1/(ck)2 [(ck2)4 + (ck)4 + c4]

= 1/(c2k2)[c4k8 + c4k4 + c4]

= c4/(c2k2)[k8 + k4 + 1]

= c2/k2 [1 + k4 + k8]

∴ L.H.S. = R.H.S.

(v) L.H.S. = abc (a + b + c)3

= ck2.ck.c[ck2 + ck + c]3

= c3k3[c(k2 + k + 1)]3

= c2k3.c3.(k2 + k + 1)3

= c6k3(k2 + k + 1)3

R.H.S = (ab + bc + ca)3

= (ck2.ck + ck.c + c.ck2)3

= (c2k3 + c2k + c2k2)3

= (c2k3 + c2k2 + c2k)3

= [c2k(k2 + k + 1)]3

= c6k3(k2 + k + 1)3

∴ L.H.S. = R.H.S.

(vi) L.H.S. = (a + b + c)(a - b + c)

= (ck2 + ck + c)(ck2 - ck + c)

= c(k2 + k + 1)c(k2 - k + 1)

= c2(k2 + k + 1)(k2 - k + 1)

= c2(k4 + k2 + 1)

R.H.S = a2 + b2 + c2

= (ck2)2 + (ck)2 +
(c)2

= c2k4 + c2k2 + c2

= c2(k4 + k2 + 1)
∴ L.H.S. = R.H.S.
dlt25617444783626276224">


23. If a, b, c, d are in continued proportion, prove that:


(i) (a3 + b3 + c3)/(b3 + c3 + d3) = a/d


(ii) (a2 - b2)(c2 - d2) = (b2 - c2)2


(iii) (a + d)(b + c) - (a + c)(b + d) = (b - c)2


(iv) a : d = triplicate ratio of (a - b) : (b - c)


(v) {(a - b)/c + (a - c)/b}2 - {(d - b)/c + (d - c)/b}2


= (a - d)2(1/c2 - 1/b2)



Answer

a, b, c, d are in continued proportion

∴ a/b = b/c + c/d = k(say)

∴ c = dk, b = ck = dk.k = dk2,

a = bk = dk2.k = dk3

(i) L.H.S. = (a3 + b3 + c3)/(b3 + c3 + d3)

= {(dk3)3 + (dk2)3 + (dk)3}/{(dk)2)3 + (dk)3 + d3}

= (d3k9 + d3k6 + d3k3)/(d3k6 + d3k3 + d3)

= {d3k3(k6 + k3 + 1)}/{d3(k6 + k3 + 1)}

= k3

R.H.S. = a/d = (dk3)/d = k3

∴ L.H.S. = R.H.S.

(ii) L.H.S = (a2 - b2)(c2 - d2)

= [(dk3)2 - (dk2)2][(dk)2 - d2]

= (d2k6 - d2k4)(d2k2 - d2)

= d2k4(k2 - 1)d2(k2 - 1)

= d4k4(k2 - 1)2

R.H.S. = (b2 - c2)2

= [(dk2)2 - (dk)2]2

= [d2k4 - d2k2]2

= [d2k2(k2 - 1)]2

= d4k4(k2 - 1)1

∴ L.H.S. = R.H.S.

(iii) L.H.S = (a + d)(b + c) - (a + c)(b + d)

= (dk3 + d)(dk2 + dk) - (dk3 + dk)(dk2 + d)

= d(k3 + 1)dk(k + 1) - dk(k2 + 1)d

= d2k(k + 1)(k3 + 1) - d2k(k2 + 1)(k2 + 1)

= d2k[k4 + k3 + k + 1 - k4 - 2k2 - 1]

= d2k [k3 - 2k2 + k]

= d2k2 [k2 - 2k + 1]

= d2k2(k - 1)2

R.H.S. = (b - c)2

= (dk2 - dk)2

= d2k2(k - 1)2

∴ L.H.S. = R.H.S.

(iv) a : d = triplicate ratio of (a - b) : (b - c)

= (a - b)3 : (b - c)3

L.H.S. = a : d = a/d = dk3/d = k3

R.H.S = (a - b)3/(b - c)3

= {(dk3 - dk2)3}/(dk2 - dk)3

= d3k6(k - 1)3/d3k3(k - 1)3

= k3

∴ L.H.S. = R.H.S.

(v) L.H.S. = {(a - b)/c + (a - c)/b}2 - {(d - b)/c + (d - c)/b}2

= {(dk3 - dk2)/dk} + {(dk3 - dk)/dk2}2 - {(d - dk2)/dk + (d - dk)/dk2}2

= {(dk2(k - 1)/dk + dk(k2 - 1)/dk2)}2 - {d (1 - k2)/dk + d(1 - k)/dk2}2

= {k(k - 1) + (k2 - 1)/k}2 - {(1 - k2)/k + (1 - k)/k2}2

= {k2(k - 1) + (k2 - 1)/k}2 - {(k - k2 + 1 - k)2}/k2

= {(k3 - k2 + k2 - 1)/k}2 - {(k - k3 + 1 - k)/k2}2

= {(k3 - 1)2}/k2 - {(- k3 + 1)2}/k4

= {(k3 - 1)2}/k2 - {(1 - k3)2}/k4

= {(k3 - 1)/k2}2 (1 - 1/k2)

= {(k3 - 1)/k2}2 {(1 - 1/k2)}

= {(k3 - 1)2(k2 - 1)}/k4

= {(k3 - 1)2(k2 - 1)}/k4

= {(k3 - 1)2(k2 - 1)}/k4

R.H.S. = (a - d)2(1/c2 - 1/b2)

= (dk3 - d)2 {(1/(d2k2) - 1/(d2k4)}

= d2(k3 - 1)2 (k2 - 1)/(d2k4)

= {(k3 - 1)2(k2 - 1)}/k4
∴ L.H.S. = R.H.S.





Exercise 7.3

1. If a : b : : c : d, prove that


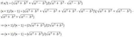
(i) (2a + 5b)/(2a - 5b) = (2c + 5d)/(2c - 5d)


(ii) (5a + 11b)/(5c + 11d) = (5a - 11b)/(5c - 11d)


(iii) (2a + 3b)(2c - 3d) = (2a - 3b)(2c + 3d)


(iv) (la + mb) : (lc + mb) : : (la - mb) : (lc - mb)



Answer


(i) a : b : : c : d

Then a/b = c/d

⇒ 2a/5b = 2c/5d (Multiplying by 2/5)

Applying componendo and dividendo,

(2a + 5b)/(2a - 5b) = (2c + 5d)/(2c - 5d)

(ii) ∵ a : b : : c : d

∴ a/b = c/d

⇒ 5a/11b = 5c/11d (Multiplying by 5/11)

Applying componendo and dividendo,

(5a + 11b)/(5a - 11b) = (5c + 11d)/(5c - 11d)

⇒ (5a + 11b)/(5c + 11d) = (5c + 11b)/(5c - 11d) (Applying alternedo)

(iii) ∵ a : b : : c : d

∴ a/b = c/d ⇒ 2a/3b = 2c/3d (Multiplying by 2/3)

Applying componendo and dividendo,

(2a + 3b)/(2a - 3b) = (2c + 3d)/(2c - 3d)

⇒ (2a + 3b)(2c - 3d)

= (2a - 3b)(2c + 3d) (By cross multiplication)

(iv) ∵ a : b : : c : d

∴ a/b = c/d

⇒ la/mb = lc/md (Multiplying by l/m)

Applying componendo and dividendo,

(la + mb)/(la - mb) = (lc + md)/(lc - md)

⇒ (la + mb)/(lc + md) = (la - mb)/(lc - md) (By alternedo)

⇒ (la + mb) : (lc + md) : : (la - mb) : (lc - md)





2. (i) If (5x + 7y)/(5u + 7v) = (5x - 7y)/(5u - 7v), show that x/y = u/v


(ii) (8a - 5b)/(8c - 5d) = (8a + 5b)/(8c + 5d), prove that a/b = c/d



Answer

(i) (5x + 7y)/(5u + 7v) = (5x - 7y)/(5u - 7v)

Applying alternedo,

(5x + 7y)/(5u + 7y) = (5x - 7y)/(5u - 7v)

Applying componendo and dividendo

⇒ (5x + 7y + 5x - 7y)/(5x + 7y - 5x + 7y) = (5u + 7v + 5u - 7v)/(5u + 7u - 5u + 7v)

⇒ 10x/14y = 10u/14v (Dividing both sides10/14)

⇒ x/y = u/v

Hence proved.

(ii) (8a - 5b)/(8c - 5d) = (8a + 5b)/(8c + 5d)

⇒ (8a + 5b)/(8a - 5b) = (8c + 5d)/(8 - 5d) (using alternedo)

Applying compoundo and dividendo,

(8a + 5b + 8a - 5b)/(8a + 5b - 8a + 5b) = (8c + 5d + 8c - 5c)/(8c + 5d - 8c + 5d)

∴ 16a/10b = 16c/10d

⇒ a/b = c/d (Dividing by 16/10)

Hence, proved.





3. If (4a + 5b)(4c - 5d) = (4a - 5d)(4c + 5d), prove that a, b, c, d in proportion.



Answer

(4a + 5b)(4c - 5d) = (4a - 5d)(4c + 5d)

⇒ (4a + 5b)/(4a - 5b) = (4c + 5d)/(4c - 5d)

Applying componendo and dividendo

(4a + 5b + 4a - 5b)/(4a + 5b - 4a + 5b) = (4c + 5d + 4c - 5d)/(4c + 5d - 4c + 5d)

⇒ 8a/10b = 8c/10d

⇒ a/b = c/d
Hence, a, b, c are in proportion.






4. If (pa + qb) : (pc + qd) : : (pa - qb) : (pc -
qd) prove that a : b : : c : d


Answer

(pa + qb) : (pc + qd) : : (pa - qb)
: (pc - qd)

⇒ (pa +
qb)/(pc + qd) = (pa - qb)/(pc - qd)

⇒ (pa +
qb)/(pa - qd) = (pc + qd)/(pc - qd)

Applying componendo and dividendo

⇒ (pa +
qb + pa - qb)/(pa + qb - pa + qb) = (pc + qd + pc - qd)/(pc - qd - pc + qd)

⇒ (2
pa)/(2 qb) = (2pc)/(2qd)

⇒ a/b =
c/d (Dividing by 2p/2q)

Hence a : b : : c = d


5. If (ma + nb) : b : : (mc + nd) : d, prove that
a, b, c, d are in proportion.


Answer

(ma + nb) : b : : (mc + nd) : d

⇒ (ma +
nb)/b = (mc + nd)/d

⇒ mad +
nbd = mbc + nbd

⇒ mad =
mbc

⇒ ad =
bc

⇒ a/b =
c/d

Hence a : b : : c : d.


6. If (11a2 + 13b2)(11c2
- 13d2) = (11a2 - 13b2)(11c2 + 13d2),
prove that a : b : : c : d.


Answer

(11a2 + 13b2)(11c2
- 13d2) = (11a2 - 13b2)(11c2 + 13d2)

⇒ (11a2
+ 13b2)/(11a2 - 13b2) = (11c2 + 13d2)/(11c2
- 13d2)

Applying componendo and dividendo

(11a2 + 13b2
+ 11a2 - 13b2)/(11a2 + 13b2 - 11a2
+ 13b2) = (11c2 + 13d2 + 11c2
- 13d2)/(11c2 + 13d2 - 11c2 + 13d2)

⇒ (22a2/26b2)
= (22c2/26d2)

⇒ a2/b2
= c2/d2 (Dividing
by 22/26)

⇒ a/b =
c/d

Hence a : b : : c : d


7. If (a + 3b + 2c + 6d) (a - 3b - 2c + 6d) = (a +
3b - 2c - 6d) (a - 3b + 2c - 6d), prove that a : b : : c : d.


Answer

(a + 3b + 2c + 6d)/(a - 3b + 2c -
6d) = (a + 3b - 2c - 6d)/(a - 3b - 2c + 6d)

⇒ (a +
3b + 2c + 6d)/(a + 3b - 2c - 6d) = (a - 3b + 2c - 6d)/(a - 3b - 2c + 6d) (by alternedo)

Applying componendo and dividendo

(a + 3b + 2c + 6d + a + 3b - 2c -
6d)/(a + 3b + 2c + 6d - a - 3b + 2c + 6d)

= (a - 3b + 2c - 6d + a - 3b - 2c +
6d)/(a - 3b + 2c - 6d - a + 3b + 2c - 6d)

⇒ {2(a +
3b)}/{2(2c + 6d)} = {2(a - 3b)}/{2(2c - 6d)}

⇒ (a +
3b)/(2c + 6d) = (a - 3b)/(2c - 6d) (Dividing
by 2)

⇒ (a +
3b)/(a - 3b) = (2c + 6d)/(2c - 6d) (by
alternedo)

Again applying componendo and
dividendo)

(a + 3b + a - 3b)/(a + 3b - a + 3b)
= (2c + 6d + 2c - 6d)/(2c + 6d - 2c + 6d)

⇒ 2a/6b = 4c/12d = 2c/6d

⇒ a/b =
c/d [Dividing
by 2/6]





8. If x = 2ab/(a + b) find the value of (x + a)/(x - a) + (x + b)/(x - b)



Answer

x = 2ab/(a + b)

⇒ x/a = 2b(a + b)

Applying componendo and dividendo

(x + a)/(x - a)

= (2b + a + b)/(2b - a - b)

= (3b + a)/(b - a) ...(i)

Again x/b = 2a/(a + b)

Applying componendo and dividendo,

(x + b)/(x - b)

= (2b + a + b)/(2b - a - b)

= (3b + a)/(b - a) ....(ii)

Adding (i) and (ii)

(x + a)/(x - a) + (x + b)/(x - b)

= (3a + a)/(b - a) + (3a + b)/(a - b)

= -(a + 3b)/(a - b) + (3a + b)/(a - b)

= (- a - 3b + 3a + b)/(a - b)

= (2a - 2b)/(a - b)

= 2(a - b)/(a - b)

= 2





9. If x = 8ab/(a + b) find the value of (x + 4a)/(x - 4a) + (x + 4b)/(x - 4b)



Answer

x = 8ab/(a + b)

⇒ x/4a = 2b/(a + b)

Applying componendo and dividendo,

(x + 4a)/(x - 4a)

= (2b + a + b)/(2b - a - b)

= (3b + a)/(b - a) ...(i)

Again,

x/4b = 2a/(a + b)

Applying componendo and dividendo,

(x + 4b)/(x - 4b)

= (2a + a + b)/(2a - a - b)

= (3a + b)/(a - b) ...(ii)

Adding (i) and (ii)

(x + 4a)/(x - 4a) + (x + 4b)/(x - 4b)

= (3b + a)/(b - a) + (3a + b)/(a - b)

= -(a + 3b)/(a - b)+ (3a + b)/(a - b)

= -(a - 3b + 3a + b)/(a - b) + (2a - 2b)/(a - b)

= 2(a - b)/(a - b)

= 2





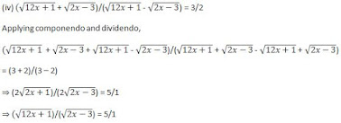
10. If x = (4√6)/( √2 + √3) find the value of (x + 2√2)/(x - 2√2) + (x + 2√3)/(x - 2√3)



Answer

x = (4√6)/(√2 + √3)

⇒ x = (4√2 ×√3)/(√2 + √3)

⇒ x/(2√2) = 2√3/(√2 + √3)

Applying componendo and dividendo,

(x + 2√2)/(x - 2√2) = (2√3 + √2 + √3)/(2√3 - √2 - √3)

= (3√3 + √2)/(√3 - √2) ...(i)

Again x/(2√3) = (2√2)/(√2 + √3)

Applying componendo and dividendo,

(x + 2√3)/(x - 2√3) = (2√2 + √2 + √3)/(2√2 - √2 - √3)

= (3√2 + √3)/(√2 - √3) ...(ii)

Adding (i) and (ii),

(x + 2√2)/(x - 2√2) + (x + 2√3)/(x - 2√3)

= (3√3 + √2)/(√3 - √2) + (3√2 + √3)/( √2 - √3)

= (3√3 + √2)/( √3 - √2) - (3√2 + √3)/(√3 - √2)

= (3√3 + √2 - 3√2 - √3)/( √3 - √2)

= (2√3 - 2√2)/(√3 - √2)

= 2(√3 - √2)/(√3 - √2)


= 2





10. If x = (4√6)/( √2 + √3) find the value of (x + 2√2)/(x - 2√2) + (x + 2√3)/(x - 2√3)



Answer

x = (4√6)/( √2 + √3)

⇒ (4√2 × √3)/( √2 + √3)

x/(2√2) = (2√3)/(√2 + √3)

Applying componendo and dividendo,

(x + 2√2)/(x - 2√2) = (2√3 + √2 + √3)/(2√3 - √2 - √3)

= (3√3 + √2)/(√3 - √2) ...(i)

Again x/(2√3) = (2√2)/(√2 + √3)

Applying componendo and dividendo,

(x + 2√3)/(x - 2√3) = (2√2 + √2 + √3)/(2√2 - √2 - √3)

= (3√2 + √3)/(√2 - √3) ...(ii)

Adding (i) and (ii),

(x + 2√2)/(x - 2√2) + (x + 2√3)/(x - 2√3)

= (3√3 + √2)/(√3 - √2) + (3√2 + √3)/( √2 - √3)

= (3√3 + √2)/( √3 - √2) - (3√2 + √3)/(√3 - √2)

= (3√3 + √2 - 3√2 - √3)/( √3 - √2)

= (2√3 - 2√2)/(√3 - √2)

= 2(√3 - √2)/(√3 - √2)

= 2





11.







Answer


(36x + 1)/(36x) = 25/16

⇒ 36x × 25 = 16(36x + 1)

⇒ 900x = 576x + 16

⇒ 900x - 576x = 16

⇒ 324x = 16

∴ x = 16/324


= 4/81





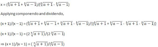
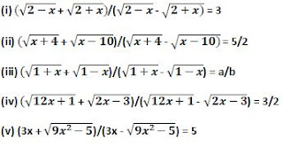
12. Using properties of properties, find x from the following equations:





Solution
Squaring both sides

(2 - x)/(2 + x) = 4/1

⇒ 8 + 4x = 2 - x

4x + x = 2 - 8

⇒ 5x = - 6

∴ x = -6/5





Squaring both sides,

(x + 4)/(x - 10) = 49/9

⇒ 49x - 490 = 9x + 36

⇒ 49x - 9x = 36 + 490

⇒ 40x = 526

∴ x = 526/40

= 263/20





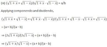
Squaring both sides, (1 + x)/(1 - x) = (a + b)2/(a - b)2

Again applying componendo and dividendo,

(1 + x + 1 - x)/(1 + x - 1 + x) = {(a + b)2 + (a - b)2}/{(a + b)2 - (a - b)2}

⇒ 2/2x = 2(a2 + b2)/4ab

⇒ 1/x = (a2 + b2)/2ab
∴ x = 2ab/(a2 + b2)





Squaring both sides, (12x + 1)/(2x - 3) = 25/1
⇒ 50x - 75 = 12x + 1
⇒ 50x - 12x = 1 + 75







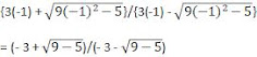
Squaring both sides

9x2/(9x2 - 5) = 9/4

⇒ 81x2 - 45 = 36x2 = 45

⇒ 45 x2 = 45

⇒ x2 = 1

⇒ x = ± 1

∴ x = 1, - 1
Check :
(a) When x = 1, then in the given equation



= (3 + √4)/(3 - √4)
= (3 + 2)/(3 - 2)
= 5/1 which is given
∴ x = 1
(b) When x = - 1, then


= (- 3 + √4)/(- 3 - √4)
= (-3 + 2)/(- 3 - 2)
= - 1/- 5
= 1/5 ≠ 5/1
∴ x = - 1 is not its solution.
Hence x = 1








Squaring both sides (a + x)/(a - x) = (c + d)2/(c - d)2
Again applying componendo and dividend o
(a + x + a - x)/(a + x - a + x) = {(c + d)2 - (c - d)2}/{(c + d)2 - (c - d)2}
⇒ 2a/2x = 2(c2 + d2)/4cd
⇒ a/x = (c2 + d2)/2cd
⇒ x(c2 + d2) = 2acd
⇒ x = 2acd/(c2 + d2)





13. Using properties of proportion, solve for x. Given that x is positive.




Answer



Squaring both sides9x2/(9x2 - 5) = 9/4

⇒ 81x2 - 45 = 36x2

⇒ 81x2 - 36x2 = 45

⇒ 45x2 = 45

⇒ x2 = 1

⇒ x = ± 1

∴ x = 1, - 1

Check :
(a) When x = 1, then in the given equation



= (3 + √4)/(3 - √4)= (3 + 2)/(3 - 2)

= 5/1 which is given

∴ x = 1





14. Solve (1 + x + x2
)/(1 - x + x2
) = {62(1 + x)}/{63(1 - x)}



Answer

(1 + x + x2)/(1 - x + x2) = {62(1 + x)}/{63(1 - x)}

⇒ (1 - x)(1 + x + x2)/(1 + x)(1 - x + x2) = 62/63

⇒ (1 + x3)/(1 - x3) = 63/62

Applying componendo and dividendo,

(1 + x3 + 1 - x3)/(1 + x3 - 1 + x3) = (63 + 62)/(63 - 62)

⇒ 2/(2x3) = 125/1

⇒ 1/x3 = 125/1

⇒ x3 = 1/125 = (1/5)3
∴ x = 1/5





15. Solve for x : 16(a - x)/(a + x)3 = (a + x)/(a - x)



Answer

x : 16{(a - x)/(a + x)}3 = (a + x)/(a - x)

⇒ (a + x)/(a - x) × {(a + x)/(a - x)}3 = 16

⇒ {(a + x)/(a - x)}4 = 16(±2)4

⇒ (a + x)/(a - x) = ±2

When (a + x)/(a - x) = 2/1

Applying componendo and dividendo,

(a + x + a - x)/(a + x - a + x) = (2 + 1)/(2 - 1)

⇒ 2a/2x = 3/1

⇒ a/x = 3/1

⇒ 3x = a

∴ x = a/3

When (a + x)/(a - x) = -2/1

Applying componendo and dividendo,

(a + x + a - x)/(a + x - a + x) = (- 2 + 1)/(- 2 - 1)

⇒ 2a/2x = - 1/-3

⇒ a/x = 1/3

⇒ x = 3a

Hence x = a/3, 3a





16. If x =

using properties of proportion, show that x2 - 2ax + 1 = 0



Answer


Applying componendo and dividendo,

⇒ (x + 1)2/(x - 1)2 = (a + 1)/(a - 1)

⇒ {(x + 1)2 + (x - 1)2}/{(x + 1)2 - (x - 1)2 = 2a/2

Again applying componendo and dividendo

⇒ (x2 + 1 + 2x + x2 + 1 - 2x)/(x2 + 1 + 2x - x2 - 1 + 2x) = a

⇒ (2x2 + 2)/4x = a

⇒ {2(x2 + 1)}/4x = a

⇒ (x2 + 1)/2x = a

⇒ 2ax = x2 + 1

⇒ x2 - 2ax + 1 = 0
Proved





17. Given x =




Use componendo and dividendo to prove that b2 = 2a2x/(x2 + 1)



Answer


Squaring, both sides we have

⇒ {(x + 1)2}/{(x - 1)2} = (a2 + b2)/(a2 - b2)

⇒(x2 + 1 + 2x)/(x2 + 1 - 2x) = (a2 + b2)/(a2 - b2)

Applying componendo and dividend both sides

⇒ (x2 + 1 + 2x + x2 + 1)/(x2 + 1 + 2x - x2 - 1 + 2x) = (a2 + b2 + a2 - b2)/(a2 + b2 - a2 + b2)

(2x2 + 2)/4x = 2a2/2b2

⇒ (x2 + 1)/2x = a2/b2

⇒ b2 = 2a2x/(x2 + 1)





18. Given that (a3 + 3ab2)/(b3 + 3a2b) = 63/62. Using componendo and dividendo find a : b.



Answer

Given that (a3 + 3ab2)/(b3 + 3a2b) = 63/62

By componendo and dividendo,

(a3 + 3ab2 + b3 + 3a2b)/(a3 + 3ab2 - b3 - 3a2b) = (63 + 62)/(63 - 62) = 125/1

⇒ {(a + b)3}/{(a - b)3} = (5/1)3

⇒ (a + b)/(a - b) = 5

⇒ a + b = 5a - 5b

⇒ 5a - a - 5b - b = 0

⇒ 4a - 6b = 0

⇒ 4a = 6b

⇒ a/b = 6/4

⇒ a/b = 3/2
a : b = 3 : 2





19. Given (x3 + 12x)/(6x2 + 8) = (y3 + 27y)/(9y2 + 27) Using componendo and dividendo find x : y.



Answer

Given,

(x3 + 12x)/(6x2 + 8) = (y3 + 27y)/(9y2 + 27)

Using componendo- dividendo, we have

(x3 + 12x + 6x2 + 8)/(x3 + 12x - 6x2 - 8) = (y3 + 27y + 9y2 + 27)/(y3 + 27y - 9y2 - 27)

⇒ (x + 2)3/(x - 2)3 = (y + 3)3/(9y - 3)3

⇒ {(x + 2)/(x - 1)}3 = {(y + 3)/(y - 3)}3

⇒ (x + 2)/(x - 2) = (y + 3)/(y - 3)

Again using componendo-dividendo, we get

(x + 2 + x - 2)/(x + 2- x + 2) = (y + 3 + y - 3)/(y + 3 - y + 3)

⇒ 2x/4 = 2y/3

⇒ x/2 = y/3

⇒ x/y = 2/3

Thus the required ratio is x : y = 2 : 3





20. Using the properties of proportion, solve the following equation for x; given


(x3 + 3x)/(3x2 + 1) = 341/91



Answer

(x3 + 3x)/(3x2 + 1) = 341/91

Applying componendo and dividend

(x3 + 3x + 3x2 + 1)/(x3 + 3x - 3x2 - 1) = (341 + 91)/(341 - 91)

⇒ (x3 + 3x2 + 3x + 1)/(x3 - 3x2 + 3x - 1) = 432/250 = 216/125

⇒ (x + 1)3/(x - 1)3 = 216/125 = (6/5)3

∴ (x + 1)/(x - 1) = 6/5

⇒ 6x - 6 = 5x + 5

⇒ 6x - 5x = 5 + 6

⇒ x = 11





21. If (x + y)/(ax + by) = (y + z)/(ay + bz) = (z + x)/(az + bx), prove that eah of these ratio is equal to 2/(a + b) unless x + y + z = 0



Answer

(x + y)/(ax + by) = (y + z)/(ay + bz) = (z + x)/(az + bx)

= (x + y + y + z + z + x)/(ax + by + ay + bz + az + bx)

= {2(x + y + z)}/{x(a + b) + y(a + b) + z(a + b)}

= {2(x + y + z)}/{(a + b)(x + y + z)}

= 2/(a + b) if x + y + z ≠0
Hence proved.





Multiple Choice Questions

Choose the correct answer from the given options (1 to 10):


1. The ratio of 45 minutes to 5.3/4 hours is



(a) 180 : 23



(b) 3 : 23



(c) 23 : 3



(d) 6 : 23



Answer


(b) 3 : 23

Ratio of 45 minutes to 5.3/4 hours is 45 minutes to : 5.3/4 hours

45 : 5.3/4 × 60

= 45 : 23/4 × 60

= 45 : 345

= 3 : 23





2. The ratio of 4 litres to 900 mL is



(a) 4 : 9



(b) 40 : 9



(c) 9 : 40



(d) 20 : 9



Answer


(b) 40 : 9

4l : 900 mL,

= 4000 mL : 900 mL,

= 4000 : 900,

= 40 : 9





3. When the number 210 is increased in the ratio 5 : 7, the the new number is



(a) 150



(b) 180



(c) 294



(d) 420



Answer


(c) 294

210 is increased in the ratio 5 : 7, then

New increased number will be = 210 × 7/5

= 294





4. Two numbers are in the ratio 7 : 9. If the su of the numbers is 288, then the smaller number is



(a) 126



(b) 162



(c) 112



(d) 144



Answer


(a) 126

Ratio in two number = 7 : 9

Sum of numbers = 288

Sum of ratios = 7 + 9 = 16

Smaller number = (288 × 7)/16
= 126





5. A ratio equivalemt to the ratio 2/3 : 5/7 is



(a) 4 : 6



(b) 5 : 7



(c) 15 : 14



(d) 14 : 15



Answer

2/3 : 5/7

Multiply and divide 2/3 by 7 and multiply and divide 5/7 by 3

∴ 2/3 × 7/7 : 5/7 × 3/3

⇒ 14/21 : 15/21

⇒ 14 : 15

∴ 2/3 : 5/7 is equivalent 14 : 15
(d)





6. The ratio of number of edges of a cube to the number of its faces is



(a) 2 : 1



(b) 1 : 2



(c) 3 : 8



(d) 8 : 3



Answer


(a) 2 : 1

No. of edges of the cube = 12

No. of faces = 6

Ratio in edges a cube to the number of faces = 12 : 6

= 2 : 1





7. If x, 12, 8 and 32 are in proportion, then the value of x is



(a) 6



(b) 4



(c) 3



(d) 2



Answer


(c) 3

x, 12, 8, 32 are in proportion, then

x × 32 = 12 × 8 (∵ ad = bc)

⇒ x = (12 × 8)/32 = 3
x = 3





8. The fourth proportional to 3, 4, 5 is



(a) 6



(b) 20/3



(c) 15/4



(d) 12/5



Answer


(b) 20/3

The fourth proportion to 3, 4, 5 will be

= (4 × 5)/3

= 20/3





9. The third proportional to 6.1/4 and 5 is



(a) 4



(b) 8.1/2



(c) 3



(d) none of these



Answer


(a) 4

The third proportional to 6.1/4 and 5 is

⇒ 6.1/4 : 5 : : 5 : x

⇒ 25/4 : 5 : : 5 : x

⇒ x = {(5 × 5)/25} × 4,

⇒ 4





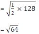
10. The mean proportional between 1/2 and 128 is



(a) 64



(b) 32



(c) 16



(d) 8



Answer


(d) 8

The mean proportional between 1/2 and 128 is





= 8




Chapter Test

1. Find the compound ratio of :


(a + b)2 : (a - b)2,
(a2 - b2) : (a2 + b2),
(a4 - b4) : (a + b)4
Answer
(a + b)2 : (a - b)2 ,
(a2 - b2) : (a2 + b2),
(a4 - b4) : (a + b)4
= {(a + b)2}/{(a - b)2} × (a2 - b2)/(a2 + b2) × (a4 - b4)/{(a + b)4}
= {(a + b)2/(a - b)2 } × {(a + b)(a - b)/(a2 + b2)} × {(a2 + b2)(a + b)(a - b)}/(a + b)4
= 1/1
= 1 : 1
2. If (7p + 3q) : (3p - 2q) = 43 : 2 find p : q
Answer
(7p + 3q) : (3p - 2q) = 43 : 2
⇒ (7p + 3q)/(3p - 2q) = 43/2
⇒ 129 p - 86q = 14p + 6q
⇒ 129p - 14p = 6q + 86q
⇒ 115p = 92q
⇒ p/q = 92/115 = 4/5
∴ p : q = 4 : 5





3. If a : b = 3 : 5, find (3a + 5b) : (7a - 2b).



Answer

a : b = 3 : 5

⇒ a/b = 3/5

⇒ 3a + 5n : 7a - 2b

Dividing each term by b

3.a/b + 5 : 3.a/b - 2

⇒ 3 × 3/5 + 5 : 7 × 3/5 - 2

⇒ (9/5 + 5) : (21/5 - 2)

⇒ (9 + 25)/5 : (21 - 10)/5

⇒ 34/5 : 11/5

= 34 : 11





4. The ratio of the shorter sides of a right angled triangle is 5 : 12. If the perimeter of the triangle is 360 cm, find the length of the longest side.



Answer

Let the two shorter sides of a right- angled be 5x and 12x.


= 13x

But 5x + 12x + 13x = 360 cm

⇒ 30x = 360

⇒ x = 360/10 = 12

∴ Length of the longest side = 13x

= 13 × 12 cm

= 156 cm





5. The ratio of the pocket money saved by Lokesh and his sister is 5 : 6. If the sister saves Rs 30 more, how much more the brother should save in order to keep the ratio of their savings unchanged?



Answer

Let the savings of Lokesh and his sister are 5x and 6x.

And the Lokesh should save Rs y more. Now, according to the problem,

⇒ (5x + y)/(6x + 30) = 5/6

⇒ 30x + 6y = 30x + 150

⇒ 30x + 6y - 30x = 150

⇒ 6y = 150

∴ y = 150/6

= 25
Hence, Lokesh should save ₹ 25 more





6. In an examination, the number of those who passed and the number of those who failed were in the ratio of 3 : 1. Had 8 more appeared, and 6 less passed, the ratio of passed to failures would have been 2 : 1. Find the number of candidates who appeared.



Answer

Let number of passed = 3x

And failed = x

Total candidates appeared = 3x + x = 4x

In second case

No. of candidates appeared = 4x + 8

And no. of passed = 3x - 6

And failed = 4x + 8 - 3x + 6

= x + 14

Then ratio will be = 2 : 1

Now according to the condition (3x - 6)/(x + 14) = 2/1

⇒ 3x - 6 = 2x + 28

⇒ 3x - 2x = 28 + 6

⇒ x = 34

∴ No. of candidates appeared = 4x

= 4 × 34

= 136






7. What number must be added to each of the numbers 15, 17, 34 and 38 to make then proportional?

Let x be added to each number, then numbers will be 15 + x, 17 + x, 34 + x, and 38 + x.

Now according to the condition

(15 + x)/(17 + x) = (34 + x)/(38 + x)

⇒ (15 + x)(38 + x) = (34 + x)(17 + x)

⇒ 570 + 53x + x2 = 578 + 51x + x2

⇒ x2 + 53x - x2 - 51x = 578 - 570

⇒ 2x = 8

⇒ x = 4

∴ 4 is to be added.





8. If (a + 2b + c), (a - c) and (a - 2b + c) are in continued proportion, prove that b is the mean proportional between a and c.



Answer

(a + 2b + c), (a - c) and (a - 2b + c) are in continued proportion

⇒ (a + 2b + c)/(a - c) = (a - c)/(a - 2b + c)

∴ (a + 2b + c)/(a - c) = (a - c)/(a - 2b + c)

⇒ (a + 2b + c)(a - 2b + c) = (a - c)2

⇒ a2 - 2ab + ac + 2ab - 4b2 + 2bc + ac - 2bc + c2

= a2 - 2ac + c2

⇒ a2 - 2ab + ac + 2ab - 4b2 + 2bc + ac - 2bc + c2 - a2 + 2ac - c2 = 0

⇒ 4ac - 4b2 = 0

⇒ ac - b2 = 0

⇒ b2 = ac

Hence b is the mean proportional between a and c.





9. If 2, 6, p, 54 and q are in continued proportion, find the values of p and q.



Answer

2, 6, p, 54 and q are in continued proportional then

⇒ 2/6 = 6/p = p/54 = 54/q

(i) ∵ 2/6 = 6/p then 2p = 36

⇒ p = 18

(ii) p/54 = 54/q

⇒ pq = 54 × 54

⇒ 18q = 54 × 54

⇒ q = (54 × 54)/18

= 162
Hence p = 18, q = 162





10. If a, b, c, d, are in continued proportion, prove that : a : e = a4 : b4.



Answer

a, b, c, d, e are in continued proportion

⇒ a/b = b/c = c/d = d/e = k (say)

d = ek, c = ek2, b = ek3 and a = ek4

Now L.H.S = a/e = (ek4)/e = k4

R.H.S = a4/b4 = (ek4)4/(ek3)4 = (e4k16)/(e4k12)

= k16 - 12

= k4

∴ L.H.S. = R.H.S.





11. Find two numbers whose mean proportional is 16 and the third proportional is 128.



Answer

Let x and y be two numbers

Their mean proportion = 16

And third proportion = 128


⇒ xy = 256

⇒ x = 256/y ...(i)

And y2/x = 128

⇒ x = y2/128 ...(ii)

From (i) and (ii)

256/y = y2/128

⇒ y3 = 256 × 128

= 32768

⇒ y3 = (32)3

⇒ y = 32

∴ x = 256/y = 256/32 = 8

∴ Numbers are 8, 32





12. If q is the mean proportional between p and r, prove that :


p2 - 3q2 + r2 = q4(1/p2 - 3/q2 + 1/r2)



Answer

q is mean proportional between p and r

q2 = pr

L.H.S. = p2 - 3q2 + r2 = p2 - 3pr + r2

R.H.S. = q4(1/p2 - 3/q2 + 1/r2)

= (q2)2 (1/p2 - 3/q2 + 1/r2)

= (pr)2 (1/p2 - 3/q2 + 1/r2)

= (pr)2 (1/p2 - 3/pr + 1/r2)

= p2r2 (r2 - 3pr + p2)/(p2r2)

= r2 - 3pr + p2

∴ L.H.S. = R.H.S

Hence, proved






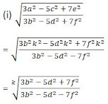
13. If a/b = c/d = e/f, prove that each ratio is



(ii) [(2a3 + 5c3 + 7e3)/(2b3 + 5d3 + 7f3)]1/3



Answer

(i) a/b = c/d = e/f = k (say)

∴ a = k, c = dk, e = fk





= k

Hence, proved.

(ii) [(2a3 + 5c3 + 7e3)/(2b3 + 5d3 + 7f3)]1/3

= [(2b3k3 + 5d3k3 + 7f3k3)/(2b3 + 5d3 + 7f3)]1/3

= k[(2b3 + 5d3 + 7f3)/(2b3 + 5d3 + 7f3)] 1/3 = k

Hence, proved.





14. If x/a = y/b = z/c, prove that (3x3 - 5y3 + 4z3)/(3a3 - 5b3 + 4c3) = (3x - 5y + 4z)/(3a - 5b + 4c)3



Answer

x/a = y/b = z/c = k (say)

x = ak, y = bk, z = ck

L.H.S. = (3x3 - 5y3 + 4z3)/(3a3 - 5b3 + 4c2)

= (3a3k3 - 5b3k3 + 4c3k3)/(3a3 - 5b3 + 4c3)

= k3(3a3 - 5b3 + 4c3)/(3a3 - 5b3 + 4c3) = k3

R.H.S = {(3x - 5y + 4z)/(3a - 5b + 4c)}3

= (3ak - 5bk + 4ck)/(3a - 5b + 4c)3

= {k(3a - 5b + 4c)}/(3a - 5b + 4c)}3

= (k)3

= k3
∴ L.H.S = R.H.S.





15. If x : a = y : b, prove that


(x4 + a4)/(x3 + a3) + (y4 + b4)/(y3 + b3) = {(x + y)4 + (a + b)4}/{(x + y)3 + (a + b)3}



Answer

x/a = y/b = k (say)

x = ak, y = bk

L.H.S = (x4 + a4)/(x3 + a3) + (y4 + b4)/(y3 + b3)

= (a4k4 + a4)/(a3k3 + a3) + (b4k4 + b4)/(b3k3 + b3)

= {a4(k4 + 1)}/{a3(k3 + 1)} + {b4(k4 + 1)|/{b3(k3 + 1)}

= {a(k4 + 1)/(k3 + 1)} + {b(k4 + 1)/(k3 + 1)}

= {a(k4 + 1) + b(k4 + 1)}/(k3 + 1)

= (k4 + 1)(a + b)/(k3 + 1)

R.H.S = (x + y)4 + (a + b)4}/{(x + y)3 + (a + b)3}

= {(ak + bk)4 + (a + b)4}/{(ak + bk)3 + (a + b)3}

= {k4(a + b)4 + (a + b)4}/{k3(a + b)3(a + b)3}

= {(a + b)4(k4 + 1)}/{(a + b)3(k3 + 1)}

= {(a + b)(k4 + 1)}/(k3 + 1) = {(k4 + 1)/(a + b)}/(k3 + 1)

∴ L.H.S = R.H.S.

Hence, proved.





16. If x/(b + c + a) = y/(c + a - b) = z/(a + b - c) prove that each ratio’s equal to (x + y + z)/(a + b + c)



Answer

x/(b + c - a) = y/(c + a - b) = z/(a + b - c) = k (say)

x = k(b + c - a),

y = k(c + a - b),

z = k(a + b - c),

(x + y + z)/(a + b + c)

= {k(b + c - a) + k(c + a - b) + k(a + b - c)}/(a + b + c)

= {k(b + c - a + c + a - b + a + b - c)}/(a + b + c)

= {k(a + b + c)}/(a +b + c)

= k

Hence, proved.





17. If a : b = 9 : 10 , find the value of


(i) (5a + 3b)/(5a - 3b)


(ii) (2a2 - 3b2)/(2a2 + 3b2)



Answer

a : b = 9 : 10

⇒ a/b = 9/10

(i) (5a + 3b)/(5a - 3b)

= (5a/b + 3b/b)/(5a/b - 3b/b)

= (5a/b + 3)/(5a/b - 3) (Dividing by b)

= (5 × 9/10 + 3)/(5 × 9/10 - 3) (Substituting the value of a/b)

= (9/3 + 3)/(9/2 - 3)

= (15/2)/(3/2)

= 15/2 × 2/3

= 5

(ii) (2a2 - 3b2)/(2a2 + 3b2)

= [(2a2/b2 - 3b2/b2]/[2a2/b2 - 3b2/b2] (Dividing by b2)

= {2(a/b)2 - 3}/{2(a/b)2 + 3}

= {2(9/10)2 - 3}/{2(9/10)2 + 3}

= (2 × 81/100 - 3)/(2 × 81/100 + 3)

= (81/50 - 3)/(81/5 + 3)

= {(81 - 150)/50}/{(81 + 150)/50}

= - 69/50 × 50/231

= - 69/231

= - 23/77





18. If (3x2 + 2y2) : (3x2 - 2y2) = 11 : 9, find the value of (3x4 + 25y4)/(3x4 - 25y4) ;



Answer

(3x4 + 25y4)/(3x4 - 25y4) = 11/9

Applying componendo and dividendo,

(3x2 + 2y2 + 3x2 - 2y2)/(3x2 + 2y2 - 3x2 + 2y2)

= (11 + 9)/(11 - 9)

⇒ 6x2/4y2 = 20/2

⇒ 3x2/2y2 = 10

⇒ x2/y2 = 10 × 2/3

= 20/2

(3x4 + 25y4)/(3x4 - 25y4)

= (3x4/y4 + 25y4/y4)/(3x4/y4 - 25y4/y4)

= {3(x2/y2)2 + 25}/{3(x2/y2)2 - 25}

= {3 × (20/3)2 + 25}/{3(20/3)2 - 25}

= (3 × 400/9 + 25)/(3 × 400/9 - 25)

= (400/3 + 25/1)/(400/3 - 25/1)

= {(400 + 75)/3}/{(400 - 75)/3}

= 475/3 × 3/325

= 19/13





19. If x = 2mab/(a + b), find the value of (x + ma)/(x - ma) + (x + mb)/(x - mb)



Answer

x = 2mab/(a + b)

⇒ x/ma + 2b/(a + b)

Applying componendo and dividendo

(x + ma)/(x - ma) = (2b + a + b)/(2b - a - b)

= (3b + a)/(b - a) ....(i)

Again x/mb = 2a/(a + b)

Applying componendo and dividendo

(x + mb)/(x - mb)

= (2b + a + b)/(2b - a - b)

= (3b + a)/(a - b) ...(ii)

Adding (i) and (ii)

{(x + ma)/(x - ma)} + {(x + mb)/(x - mb)}

= {(3b + a)/(b - a)} + {(3a + b)/(a - b)}

= - {(3b + a)/(a - b)} + {(3a + b)/(a - b)}

= (- 3b - a + 3a + b)/(a - b)

= (2a - 2b)/(a - b)

= {2(a - b)}/(a - b)

= 2





20. If x = pab/(a + b), prove that (x + pa)/(x - pa) - (x + pb)/(x - pb) = 2(a2 - b2)/ab



Answer

x = pab/(a + b)

⇒ x/pa + b/(a + b)

Applying componendo and dividendo

(x + pa)/(x - pa)

= (b + a + b)/(b - a - b)

= (a + 2b)/-a ....(i)

Again, x/pb = a/(a + b)

Applying componendo and dividendo,

(x + pb)/(x - pb)

= (a + a + b)/(a - a - b)

= {(2a + b)/-b} ...(ii)

L.H.S = {(x + pa)/(x - pa)} - {(x + pb)/(x - pb)}

= {(a + 2b)/-a} - {(2a + b)/-b}

= {(a + 2b)/-a} + {(2a + b)/b}

= {(ab + 2b2 - 2a2 - ab)/(-ab)}

= {(2b2 - 2a2)/(-ab)}

= (- 2a2 + 2b2)/(- ab)

= {-2(a2 - b2)/(-ab)}

= 2(a2 - b2)/ab
= R.H.S.





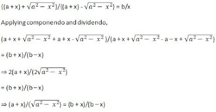
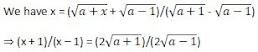
21. Find x from the equation









Answer :


Squaring both sides,

{(a + x)2}/(a2 - x2) = {(b + x)2}/{(b - x)2}

⇒ {(a + x)2}/{(a + x)(a - x)} = {(b + x)2/(b - x)2}

⇒ (a + x)/(a - x) = (b + x)2/(b - x)2

Again applying componendo and dividendo,

(a + x + a - x)/(a + x - a + x) = (b + x)2 + (b - x)2 /(b + x)2 - (b - x)2

⇒ 2a/2x = {2(b2 + x2)/4bx}

⇒ a/x = (b2 + x2)/2bx

2bx = x(b2 + x2)

⇒ 2ab = b2 + x2

⇒ x2 = 2ab - b2




22. If




x3 - 3ax2 + 3x - a = 0



Answer


Cubing both sides

(x + 1)3/(x - 1)3 = (a + 1)/(a - 1)

Again applying componendo and dividendo,

{(x + 1)3 + (x - 1)3}/{(x + 1)3 - (x - 1)3}

= (a + 1 + a - 1)/(a + 1 - a + 1)

⇒ {2(x3 + 3x)}/{2(3x2 + 1)} = 2a/2

⇒ (x3 + 3x)/(3x2 + 1) = a/1

⇒ x3 + 3x = 3ax2 + a

⇒ x3 - 3ax2 + 3x - a = 0

Hence, proved.





23. If (by + cz)/(b2 + c2) = (cz + ax)/(c2 + a2) = (ax + by)/(a2 + b2), prove that each of these ratio is equal to x/a = y/b = z/c



Answer

(by + cz)/(b2 + c2) = (cz + ax)/(c2 + a2) = (ax + by)/(a2 + b2)

= {2(ax + by + cz)}/{2(a2 + b2 + c2)} = (ax + by + cz)/(a2 + b2 + c2) (Adding)

Now (by + cz)/(b2 + c2) = (ax + by + cz)/(a2 + b2 + c2)

⇒ (by + cz)/(ax + by + cz) = (b2 + c2)/(a2 + b2 + c2) (By alternedo)

⇒ (by + cz - ax - by - cz)/(ax + by + cz) = (b2 + c2 - a2 - b2 - c2)/(a2 + b2 + c2)

⇒ (- ax)/(ax + by + cz) = (- a2)/(a2 + b2 + c2)

⇒ x/(ax + by + cz) = a/(a2 + b2 + c2)

⇒ x/a = (ax + by + cz)/(a2 + b2 + c2) ....(i)

Similarly, we can prove that

y/b = (ax + by + cz)/(a2 + b2 + c2) ....(ii)

and z/c = (ax + by + cz)/(a2 + b2 + c2) ...(iii)

From (i), (ii) and (iii)
Hence x/a = y/b = z/c