ICSE-X-Mathematics
Previous Year Paper year:2019
Note: Please signup/signin free to get personalized experience.
Note: Please signup/signin free to get personalized experience.
10 minutes can boost your percentage by 10%
No item to list.
Note: Please signup/signin free to get personalized experience.
- #8-b-iSlope of BC.
- #8-b-iiEquation of a line perpendicular to BC and passing through A.
- #8-cUsing ruler and a compass only construct a semi-circle with diameter BC = 7 cm. Locate a
point A on the circumference of the semicircle such that A is equidistant from B and C. Complete the cyclic quadrilateral ABCD, such that D is equidistant from AB and BC. Measure ∠ADC and write it down.
[4]
- #9Ans :



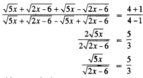
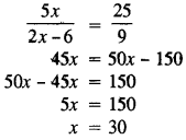
Applying componendo and dividendo, we have

Squaring both sides, we obtain

(C) Total investment = ₹ 8500
Market value of each share = ₹ 170
Number of shares purchased = ``\frac{8500}{170}`` = 50
Dividend received = ₹ ``\frac{10}{100}``× 50× 100 = ₹ 500
Now, market value of each share = ₹ (170 + 30) = ₹ 200
Amount received on selling = ₹ (50 x 200) = ₹ 10000
Market value of new shares = ₹ 125 each
Number of shares purchased = ``\frac{10000}{125}`` = 80
Dividend received = ``\frac{12}{100}``× 80×100 = ₹960
Change in income = ₹ (960 - 500)
= ₹ 460
- #9-aThe data on the number of patients attending a hospital in a month are given below.
[3]
Find the average (mean) number of patients attending the hospital in a month by using the shortcut method.
Take the assumed mean as 45. Give your answer correct to 2 decimal places.
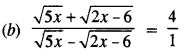
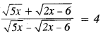
- #9-bUsing properties of proportion solve for x, given
[3]

- #9-cSachin invests ₹ 8500 in 10%, ₹ 100 shares at ₹ 170. He sells the shares when the price of each share rises by ₹ 30 He invests the proceeds in 12% ₹ 100 shares at ₹ 125. Find :
- #9-c-ithe sale proceeds.
[4]
- #9-c-iithe number of ₹ 125 shares he buys.
- #9-c-iiithe change in his annual income.
- #10
- #10-aUse graph paper for this question.
[6]
The marks obtained by 120 students in an English test are given below :

Draw the ogive and hence, estimate :
Ans :
Plot the points (10, 5), (20, 14), (30, 30), (40, 52), (50, 78), (60, 96), (70, 107), (80, 113), (90, 117), (100, 120). On the graph paper by taking upper limits on x-axis and number of students on y-axis. Join them free hand to get smooth curve.

Here, N = 120
``\frac{N}{2}`` = ``\frac{120}{2}`` = 60
Median marks = 42 marks
Number of students who did not pass = 78 students
Upper quartile marks = 57 marks
- #10-a-ithe median marks.
- #10-a-iithe number of students who did not pass the test if the pass percentage was 50.
- #10-a-iiithe upper quartile marks.